М
Молодежь
К
Компьютеры-и-электроника
Д
Дом-и-сад
С
Стиль-и-уход-за-собой
П
Праздники-и-традиции
Т
Транспорт
П
Путешествия
С
Семейная-жизнь
Ф
Философия-и-религия
Б
Без категории
М
Мир-работы
Х
Хобби-и-рукоделие
И
Искусство-и-развлечения
В
Взаимоотношения
З
Здоровье
К
Кулинария-и-гостеприимство
Ф
Финансы-и-бизнес
П
Питомцы-и-животные
О
Образование
О
Образование-и-коммуникации
diatel83
diatel83
10.03.2023 16:03 •  Алгебра

С! ничего не понимаю( объясните что и как.

👇
Ответ:
Srednov
Srednov
10.03.2023

1)\; \; \int \frac{3\, cos4x\, dx}{\sqrt{sin^24x+5}}=\Big [\; t=sin4x\; ,\; dt=4\, cos4x\, dx\; \Big ]=\frac{3}{4}\int \frac{dt}{\sqrt{t^2+5}}=\\\\=ln|\, t+\sqrt{t^2+5}\, |+C=ln|\, sin4x+\sqrt{sin^24x+5}\, |+C\\\\\\2)\; \; \int \frac{e^{2tgx-3}\, dx}{cos^2x}=\int e^{2tgx-3}\cdot \frac{dx}{cos^2x}=\Big [\; t=2tgx-3\; ,\; dt=\frac{2\, dx}{cos^2x}\; \Big ]=\\\\=\frac{1}{2}\int e^{t}\, dt=\frac{1}{2}\, e^{t}+C=\frac{1}{2}\, e^{2tgx-3}+C

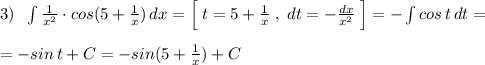
3)\; \; \int \frac{1}{x^2}\cdot cos(5+\frac{1}{x})\, dx=\Big [\; t=5+\frac{1}{x}\; ,\; dt=-\frac{dx}{x^2}\; \Big ]=-\int cos\, t\, dt=\\\\=-sin\, t+C=-sin(5+\frac{1}{x})+C

P.S.\; \; \; \; \; \; dy=y'(x)\cdot dx\\\\(sinx)'=cosx\; \; \; ,\; \; \; (\frac{1}{x})'=(x^{-1})'=-1\cdot x^{-2}=-\frac{1}{x^2}\; \; ,\; \; (tgx)'=\frac{1}{cos^2x}

4,6(28 оценок)
Открыть все ответы
Ответ:
Kamilamar
Kamilamar
10.03.2023
N1
а) 4sin³x -8sin²x -sinx +2 =0 ;
4sin²x(sinx-2) -(sinx -2) =0 ;
(sinx -2)(4sin²x -1) = 0 ⇔[ sinx -2 =0 ;4sin²x -1 =0. 
sinx -2 =0⇔sinx =2  ||  > 1 →нет решения.||
4sin²x -1= 0 ⇔4*(1-cos2x)/2 -1 = 0 ⇔cos2x =1/2 ⇒2x =±π/3 +2πk , k∈Z.

ответ: ±π/6 +πk , k∈Z.
---
б)  ;  
(1-cos²x) -2cosx +2 =0  * * *  можно заменить   t =cosx ,  |t| ≤1 * * *
cos²x +2cosx -3  =0 ⇒[cosx = -3(не имеет решения) ; cosx =1.

ответ: 2πk , k∈Z.
-------
N2
а)  ⇔ 7^(5x-1)(7 -1) =6⇔ 7^(5x -1)*6 =6⇔7^(5x -1) =1.
7^(5x -1) =7⁰ ⇒5x-1 =0 ;  x =0,2.
---
б)  ;  
ОДЗ :  { 2x+4 >0 ; 4x -7 >0 ; 4x -7 ≠1. ⇒ x∈(1,75 ;2) U(2 ;∞).

Lq(2x+4) =2Lq(4x-7)⇒Lq(2x+4) =Lq(4x-7)² ;2 x+4 =(4x -7)² ;
16x² -58x +45 =0 ;
D/4 =29² -16*45 =841 -720 =121 =11²
x₁= (29 -11)/16 = 9/8 ∉ОДЗ .
x₂ =(29 +11)/16 = 5/2.

ответ: 2,5.
-------
N3
а)    ;
y ' =( (x² +2x)' (3-4x) - (x² +2x)*(3-4x) ') /(3-4x)² =
( (2x+2)(3 -4x) +4(x² +2x)) /(3-4x)² = -2(2x² -3x-3)/(3-4x)².
---
б)  ;
y ' =((5x+2)⁴) ' =4*(5x+2)³*(5x+2)' =4*(5x+2)³*5=20(5x+2)³ .
-------
N3
а) а)  =(1/6)*x +C.
---
б)  =(-1/3 )интеграл( e^(4-3x)d(4-3x) =(-1/3)e^(4-3x) +C.

Будьте любезны, господа хорошие, решите следующие уравнения: №1 a) б) №2 а) б) №3 ( вычислить произв
Будьте любезны, господа хорошие, решите следующие уравнения: №1 a) б) №2 а) б) №3 ( вычислить произв
Будьте любезны, господа хорошие, решите следующие уравнения: №1 a) б) №2 а) б) №3 ( вычислить произв
Будьте любезны, господа хорошие, решите следующие уравнения: №1 a) б) №2 а) б) №3 ( вычислить произв
4,6(48 оценок)
Ответ:
19729ром
19729ром
10.03.2023
Какое наименьшее значение и при каком значении переменной принимает выражение х²+14х-16?

при х=-14/2  x=-7   y (-7)=(-7)²+14(-7)-16=49-98-16=-65

или  рассмотрим функцию y=х²+14х-16=(x+7)²-65,    
графиком этой функции является парабола, ветки параболы направлены вверх, (коэффициент при х² равен 1>0), вершина параболы - точка с координатами х0=-7, у0=-65, в вершине функция y=х²+14х-16 принимает наименьшее значение.

Таким образом, наименьшее значение выражение х²+14х-16  принимает  при х0=-7 , и оно равно  у0=-65.
4,5(35 оценок)
Новые ответы от MOGZ: Алгебра
logo
Вход Регистрация
Что ты хочешь узнать?
Спроси Mozg
Открыть лучший ответ