М
Молодежь
К
Компьютеры-и-электроника
Д
Дом-и-сад
С
Стиль-и-уход-за-собой
П
Праздники-и-традиции
Т
Транспорт
П
Путешествия
С
Семейная-жизнь
Ф
Философия-и-религия
Б
Без категории
М
Мир-работы
Х
Хобби-и-рукоделие
И
Искусство-и-развлечения
В
Взаимоотношения
З
Здоровье
К
Кулинария-и-гостеприимство
Ф
Финансы-и-бизнес
П
Питомцы-и-животные
О
Образование
О
Образование-и-коммуникации
Ijony
Ijony
04.02.2022 04:24 •  Алгебра

Найти все решение уравнения (фото приложено). тема- комплексные числа.

👇
Ответ:
dwawd
dwawd
04.02.2022

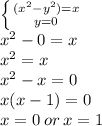
- \frac{1}{2} \pm \frac{\sqrt{3} }{2} i; 0; 1

Объяснение:

Нам нужно найти все комплексные числа, квадрат которых равен их сопряжённому числу.

Пусть

z = x + iy

искомое число.

Тогда его сопряжённое число

s = x - iy

По условию задачи:

s = z^{2}

Подставим вместо комплексных чисел их представления через действительные x и y. Получим:

x - iy=(x+iy)^{2}

Преобразуем:

x-iy=(x+iy)^{2}\\x-iy=x^{2}+2ixy+i^{2}y^{2}; i^{2}=-1\\x-iy=x^{2}+2ixy-y^2\\x-yi=(x^{2}-y^{2})+2xyi

Два комплексных числа равны, когда равны соответственно их действительные и мнимые части:

x-yi=(x^{2}-y^{2})+2xyi\\\left \{ {{(x^{2}-y^{2}) = x} \atop {2xy = -y}}\right.

Рассмотрим второе уравнение в системе:

2xy=-y\\2xy+y=0\\y(2x+1)=0\\y=0 \: or \: x = -\frac{1}{2}

Если y = 0, то

\left \{ {{(x^{2}-y^{2}) = x} \atop {y=0}} \right. \\x^{2}-0=x\\x^{2}=x\\x^{2}-x=0\\x(x-1)=0\\x = 0 \: or \: x = 1

Если x = -0.5, то

\left \{ {{(x^{2}-y^{2}) = x} \atop {x=-\frac{1}{2} }} \right. \\(-\frac{1}{2})^{2} -y^{2} = -\frac{1}{2} \\\frac{1}{4} -y^{2}=-\frac{1}{2} \\\frac{3}{4} =y^{2}\\y=\pm \frac{\sqrt{3} }{2}

В итоге получаем, что

if \: y= 0, \: then \: x= 0 \: or \: x=1\\z = 0+0i = 0 \: or \: z = 1 +0i = 1

if \: x = -\frac{1}{2}, \: then \: y = \pm \frac{\sqrt{3} }{2} \\z = -\frac{1}{2} \pm \frac{\sqrt{3} }{2}i

4,6(100 оценок)
Открыть все ответы
Ответ:
1) f'(x) = 1/√((1-2x)/(1+2x)) * (1/2√(1-2x)/(1+2x))* ((1-2x)/(1+2x))'=
= 1/√((1-2x)/(1+2x)) * (1/2√(1-2x)/(1+2x))*(-2)(1+2x)-2(1-2x)/(1+2х)²=
= 1/√((1-2x)/(1+2x)) * (1/2√(1-2x)/(1+2x))* (-2-4х-2 +4х)/(1+2х)²=
=- 1/√((1-2x)/(1+2x)) * (1/2√(1-2x)/(1+2x))*4/(1+2х)²
2)у = √х*Cosx
y'=1/2√x*Cosx - √x*Sinx
3) f(x) = e^Sin4x
f'(x) = e^Sin4x * Cos4x*4
f'(0)= e^0*Cos0*4 = 1*1*4 = 4
4) f(x) (3x-4)*ln(3x-4)
f'(x) =3*ln(3x-4) + (3x-4)*3/(3x-4)= 3ln(3x-4) +3
5)f(x)=5^lnx
f'(x) = 5^lnx*1/x*ln5
6) f(x) = Ctg(2x + π/2) + (x-π²)/х = -tg2x + (x-π²)/х
f'(x) = -2/Cos²2x + (x - x + π²)/х² = -2/Cos² 2x + π²/x²
f'(π/12) = -2/Сos² π/6 + π²/π/12 = -3/2 + 12π
4,5(2 оценок)
Ответ:
1. Число делится на 12 без остатка, если оно делится на 3 и на 4.
2. Число делится на 4, если оно четное и если число составленное из последних 2-х цифр данного числа делится на 4.
3. Число делится на 3, если сумма цифр данного числа делится на 3.

Число не может заканчиваться цифрой 5, т.к. оно не будет делиться на 4. Цифру 5 вычеркиваем. Получили число 8453762, осталось вычеркнуть 2 цифры.

Допустим, число заканчивается цифрой 2, число составленное из последних 2-х цифр, должно делиться без остатка на 4.
62 на 4 не делится, а 72 - делится (72:4=18). Вычеркиваем цифру 6, получили число 845372, которое делится на 4. 

Проверяем, делится ли оно на 3:
8+4+5+3+7+2=29. 29 на 3 не делится. Цифры 7 или 2 вычеркнуть нельзя, т.к. тогда число снова не будет делиться на 4. Осталось вычеркнуть одну из цифр 8, 4, 5 или 3.
29-8=21 - делится на 3
29-4=25 - не делится
29-5=24 - делится
29-3=26 - не делится.
Можем вычеркнуть цифру 8, тогда получим число 45372, которое делится на 12.
Или можем вычеркнуть цифру 5, получим число 84372, которое тоже делится на 12.

По этой же схеме можно найти число 84576.

Выбирайте любое :)
4,6(71 оценок)
Это интересно:
Новые ответы от MOGZ: Алгебра
logo
Вход Регистрация
Что ты хочешь узнать?
Спроси Mozg
Открыть лучший ответ