М
Молодежь
К
Компьютеры-и-электроника
Д
Дом-и-сад
С
Стиль-и-уход-за-собой
П
Праздники-и-традиции
Т
Транспорт
П
Путешествия
С
Семейная-жизнь
Ф
Философия-и-религия
Б
Без категории
М
Мир-работы
Х
Хобби-и-рукоделие
И
Искусство-и-развлечения
В
Взаимоотношения
З
Здоровье
К
Кулинария-и-гостеприимство
Ф
Финансы-и-бизнес
П
Питомцы-и-животные
О
Образование
О
Образование-и-коммуникации
gggggggx
gggggggx
15.05.2022 13:59 •  Алгебра

(9 класс)
2. :
(tg3˚ tg57˚ tg63˚)(tg17˚ tg43˚ tg73˚)(tg23˚ tg37˚ tg83˚)

👇
Ответ:
favorit19971
favorit19971
15.05.2022

\Big(tg3\textdegree~tg57\textdegree~tg63\textdegree \Big)\Big(tg17\textdegree~tg43\textdegree~tg73\textdegree \Big)\Big(tg23\textdegree~tg37\textdegree~tg83\textdegree \Big)=\\=\Big(tg17\textdegree~tg43\textdegree~tg\big(90\textdegree-17\textdegree\big)\Big) \Big(tg3\textdegree~tg\big(60\textdegree-3\textdegree\big) ~tg\big(60\textdegree+3\textdegree\big)\Big)\times

~~~~~~~~~~~~~~~~\times \Big(tg23\textdegree~tg\big(60\textdegree-23\textdegree\big) ~tg\big(60\textdegree+23\textdegree\big)\Big)=\\=\Big(\underbrace{tg17\textdegree~ctg17\textdegree}_{=1}~tg43\textdegree\Big) \Big(tg3\textdegree~\cdot \dfrac{tg60\textdegree-tg3\textdegree}{1+tg60\textdegree\cdot tg3\textdegree}\cdot \dfrac{tg60\textdegree+tg3\textdegree}{1-tg60\textdegree\cdot tg3\textdegree}\Big)\times

~~~~~~~~~~~~~~~~\times \bigg(tg23\textdegree\cdot \dfrac{tg60\textdegree-tg23\textdegree}{1+tg60\textdegree\cdot tg23\textdegree}\cdot \dfrac{tg60\textdegree+tg23\textdegree}{1-tg60\textdegree\cdot tg23\textdegree}\bigg)=\\

=tg43\textdegree\cdot \bigg(tg3\textdegree~\cdot \dfrac{tg^260\textdegree-tg^23\textdegree}{1-tg^260\textdegree\cdot tg^23\textdegree}\bigg)\bigg(tg23\textdegree\cdot \dfrac{tg^260\textdegree-tg^223\textdegree}{1-tg^260\textdegree\cdot tg^223\textdegree}\bigg)=\\

=tg43\textdegree\cdot \bigg(tg3\textdegree~\cdot \dfrac{\big(\sqrt3\big)^2-tg^23\textdegree}{1-\big(\sqrt3\big)^2\cdot tg^23\textdegree}\bigg)\bigg(tg23\textdegree\cdot \dfrac{\big(\sqrt3\big)^2-tg^223\textdegree}{1-\big(\sqrt3\big)^2\cdot tg^223\textdegree}\bigg)=\\

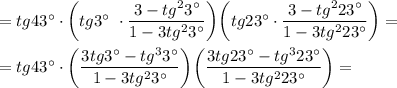
=tg43\textdegree\cdot \bigg(tg3\textdegree~\cdot \dfrac{3-tg^23\textdegree}{1-3tg^23\textdegree}\bigg)\bigg(tg23\textdegree\cdot \dfrac{3-tg^223\textdegree}{1-3tg^223\textdegree}\bigg)=\\\\=tg43\textdegree\cdot \bigg(\dfrac{3tg3\textdegree-tg^33\textdegree}{1-3tg^23\textdegree}\bigg)\bigg(\dfrac{3tg23\textdegree-tg^323\textdegree}{1-3tg^223\textdegree}\bigg)=\\

=tg43\textdegree\cdot \bigg(tg\big(3\cdot3\textdegree\big)\bigg)\bigg(tg\big(3\cdot23\textdegree\big)\bigg)\boldsymbol{=tg43\textdegree\cdot tg9\textdegree\cdot tg69\textdegree}

Здесь можно закончить. Если продолжить дальше :

tg43\textdegree\cdot tg9\textdegree\cdot tg\big(60\textdegree+9\textdegree\big)=tg43\textdegree\cdot tg9\textdegree\cdot \dfrac {tg60\textdegree+tg9\textdegree}{1-tg60\textdegree\cdot tg9\textdegree}=

=tg43\textdegree\cdot tg9\textdegree\cdot \dfrac {\sqrt3+tg9\textdegree}{1-\sqrt3\cdot tg9\textdegree}=\\=tg43\textdegree\cdot tg9\textdegree\cdot \dfrac {\big(\sqrt3+tg9\textdegree\big)\big(\sqrt3-tg9\textdegree\big)\big(1+\sqrt3\cdot tg9\textdegree\big)}{\big(1-\sqrt3\cdot tg9\textdegree\big)\big(1+\sqrt3\cdot tg9\textdegree\big)\big(\sqrt3-tg9\textdegree\big)}=

=tg43\textdegree\cdot tg9\textdegree\cdot \dfrac {\big(3-tg^29\textdegree\big)\big(1+\sqrt3\cdot tg9\textdegree\big)}{\big(1-3tg^29\textdegree\big)\big(\sqrt3-tg9\textdegree\big)}=\\=tg43\textdegree\cdot \dfrac {3tg9\textdegree-tg^39\textdegree}{1-3tg^29\textdegree}\cdot \dfrac {1+\sqrt3\cdot tg9\textdegree}{\sqrt3-tg9\textdegree}==tg43\textdegree\cdot tg\big(3\cdot 9\textdegree\big)\cdot \dfrac {1+\sqrt3\cdot tg9\textdegree}{\sqrt3-tg9\textdegree}=tg43\textdegree\cdot tg27\textdegree\cdot \dfrac {1+\sqrt3\cdot tg9\textdegree}{\sqrt3-tg9\textdegree}

============================================

Использованы формулы

tg\big(\alpha +\beta \big)=\dfrac {tg\alpha +tg\beta }{1-tg\alpha \cdot tg\beta}\\\\tg\big(\alpha -\beta \big)=\dfrac {tg\alpha -tg\beta }{1+tg\alpha \cdot tg\beta}\\\\tg\big(3\alpha \big)=\dfrac{3tg\alpha -tg^3\alpha }{1-3tg^2\alpha }

4,7(31 оценок)
Открыть все ответы
Ответ:
LiiiiiiV
LiiiiiiV
15.05.2022
X числитель дроби 
у знаменатель дроби 
Система уравнений 
y = x + 3 
( x + 7 ) / ( у + 5 ) - 1/2 = х / у 
Решение 
y ≠ 0 ; y ≠ - 5 ; x > 0 ; y > 0 
( 2(x + 7) - ( y + 5 )) / ( 2( y + 5 )) = x / y 
( 2x + 14 - y - 5 ) / ( 2y + 10 ) = x / y 
( 2x - y + 9 ) / ( 2y + 10 ) = x / y 
y( 2x - y + 9 ) = x( 2y + 10 ) 
2xy - y^2 + 9y = 2xy + 10x 
- y^2 + 9y = 10x 
x = y - 3 
- y^2 + 9y = 10( y - 3 ) 
- y^2 + 9y = 10y - 30 
y^2 + y - 30 = 0 
D = 1 + 120 = 121 = 11^2 
y1 = ( - 1 + 11 ) : 2 = 5 
y2 = ( - 1 - 11 ) : 2 = - 6 ( < 0 ) 
x = 5 - 3 = 2 
ответ дробь 2/5 
ПРОВЕРКА 
1) 5 = 2 + 3 
5 = 5 
2) ( 2 + 7 ) / (5 + 5 ) - 1/2 = 2/5
9/10 - 1/2 = 2/5 
9/10 - 5/10 = 2/5 
4/10 = 2/5 
2/5 = 2/5
4,8(63 оценок)
Ответ:
X числитель дроби 
у знаменатель дроби 
Система уравнений 
y = x + 3 
( x + 7 ) / ( у + 5 ) - 1/2 = х / у 
Решение 
y ≠ 0 ; y ≠ - 5 ; x > 0 ; y > 0 
( 2(x + 7) - ( y + 5 )) / ( 2( y + 5 )) = x / y 
( 2x + 14 - y - 5 ) / ( 2y + 10 ) = x / y 
( 2x - y + 9 ) / ( 2y + 10 ) = x / y 
y( 2x - y + 9 ) = x( 2y + 10 ) 
2xy - y^2 + 9y = 2xy + 10x 
- y^2 + 9y = 10x 
x = y - 3 
- y^2 + 9y = 10( y - 3 ) 
- y^2 + 9y = 10y - 30 
y^2 + y - 30 = 0 
D = 1 + 120 = 121 = 11^2 
y1 = ( - 1 + 11 ) : 2 = 5 
y2 = ( - 1 - 11 ) : 2 = - 6 ( < 0 ) 
x = 5 - 3 = 2 
ответ дробь 2/5 
ПРОВЕРКА 
1) 5 = 2 + 3 
5 = 5 
2) ( 2 + 7 ) / (5 + 5 ) - 1/2 = 2/5
9/10 - 1/2 = 2/5 
9/10 - 5/10 = 2/5 
4/10 = 2/5 
2/5 = 2/5
4,5(46 оценок)
Новые ответы от MOGZ: Алгебра
logo
Вход Регистрация
Что ты хочешь узнать?
Спроси Mozg
Открыть лучший ответ