М
Молодежь
К
Компьютеры-и-электроника
Д
Дом-и-сад
С
Стиль-и-уход-за-собой
П
Праздники-и-традиции
Т
Транспорт
П
Путешествия
С
Семейная-жизнь
Ф
Философия-и-религия
Б
Без категории
М
Мир-работы
Х
Хобби-и-рукоделие
И
Искусство-и-развлечения
В
Взаимоотношения
З
Здоровье
К
Кулинария-и-гостеприимство
Ф
Финансы-и-бизнес
П
Питомцы-и-животные
О
Образование
О
Образование-и-коммуникации
gelik7575
gelik7575
28.12.2021 00:24 •  Алгебра

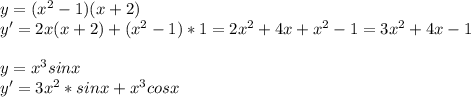
26.31. Знайдіть похідну функції:
1) у = (x2 – 1)(х + 2);

2) y = x^3 sin x;

👇
Ответ:
arturimbo
arturimbo
28.12.2021

Объяснение:

y=(x^2-1)(x+2)\\y'=2x(x+2)+(x^2-1)*1=2x^2+4x+x^2-1=3x^2+4x-1\\\\y=x^3sinx\\y'=3x^2*sinx+x^3cosx

4,4(63 оценок)
Открыть все ответы
Ответ:
Ванёк20061
Ванёк20061
28.12.2021

Функция f(x) = -12x + 36 убывающая.

f(x) = 0 при x = 3.

f(x) > 0 при x ∈ (-∞; 3)

f(x) < 0 при x ∈(3; +∞)

Объяснение:

f(x) = -12x + 36

Это линейная функция, ее график прямая линия. Общий вид линейной функции f(x) = kx + b.

Коэффициент k определяет угол наклона прямой к оси ОХ.

k = -12, k < 0, прямая проходит через II - IV четверти. (k < 0, угол между прямой и положительный направлением оси ОХ тупой)

⇒ Функция f(x) = -12x + 36 убывающая.

f(x) = 0; -12x + 36 = 0;   12x = 36;   x = 3

f(x) = 0 при x = 3.

f(x) > 0 при x ∈ (-∞; 3)

f(x) < 0 при x ∈(3; +∞)

Объяснение:

4,5(59 оценок)
Ответ:
малышка135
малышка135
28.12.2021

Функция f(x) = -12x + 36 убывающая.

f(x) = 0 при x = 3.

f(x) > 0 при x ∈ (-∞; 3)

f(x) < 0 при x ∈(3; +∞)

Объяснение:

f(x) = -12x + 36

Это линейная функция, ее график прямая линия. Общий вид линейной функции f(x) = kx + b.

Коэффициент k определяет угол наклона прямой к оси ОХ.

k = -12, k < 0, прямая проходит через II - IV четверти. (k < 0, угол между прямой и положительный направлением оси ОХ тупой)

⇒ Функция f(x) = -12x + 36 убывающая.

f(x) = 0; -12x + 36 = 0;   12x = 36;   x = 3

f(x) = 0 при x = 3.

f(x) > 0 при x ∈ (-∞; 3)

f(x) < 0 при x ∈(3; +∞)


Дана функция f(x) =-12x+36. При каких значениях аргумента f(x) =0; f(x) >0; f(x) <0? Является
4,5(91 оценок)
Это интересно:
Новые ответы от MOGZ: Алгебра
logo
Вход Регистрация
Что ты хочешь узнать?
Спроси Mozg
Открыть лучший ответ