М
Молодежь
К
Компьютеры-и-электроника
Д
Дом-и-сад
С
Стиль-и-уход-за-собой
П
Праздники-и-традиции
Т
Транспорт
П
Путешествия
С
Семейная-жизнь
Ф
Философия-и-религия
Б
Без категории
М
Мир-работы
Х
Хобби-и-рукоделие
И
Искусство-и-развлечения
В
Взаимоотношения
З
Здоровье
К
Кулинария-и-гостеприимство
Ф
Финансы-и-бизнес
П
Питомцы-и-животные
О
Образование
О
Образование-и-коммуникации
dashamaltseva64
dashamaltseva64
20.05.2023 10:36 •  Алгебра

Система рівнянь 3(х+у)-2(х-у)=48, 4(х+у)+3(х-у)=132

👇
Ответ:
Ксюника1
Ксюника1
20.05.2023

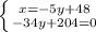
\left \{ {{ 3(x+y)-2(x-y)=48} \atop {4(x+y)+3(x-y)=132}} \right.

\left \{ {{5y+x=48} \atop {7x+y=132}} \right.

\left \{ {{x=-5y+48} \atop {7x+y=132}} \right.

\left \{ {{x=-5y+48} \atop {7(-5y+48)+y=132}} \right.

\left \{ {{x=-5y+48} \atop {-34y+204=0}} \right.

\left \{ {{x=-5y+48} \atop {y=6}} \right.

x=18 ;y=6

4,6(80 оценок)
Открыть все ответы
Ответ:
Tomilka777
Tomilka777
20.05.2023
1)    ;
sin2x - (1-sin²x)  =0 ;
2sinxcosx -cos²x =0 ;
cosx(2sinx -cosx) =0 ;
[cosx =0 ;2sinx-cosx =0.⇔ [cosx =0 ;sinx=(1/2)cosx.⇔[cosx =0 ;tqx=1/2.
[ x=π/2 +πn ; x =arctq1/2+πn , n∈Z.

2)   ;
ctq2x*cos²x - ctq2x*sin²x =0 ;
ctq2x*(cos²x - sin²x) =0 ;
ctq2x*cos2x =0 ;
sin2x =0  * * *cos2x = ± 1 ≠0→ ОДЗ * * * 
2x =πn , n∈Z ;
x =(π/2)*n , n∈Z .

3)   ;
3sin²x/2 -2sinx/2 =0 ;
3sinx/2 (sinx/2 -2/3) =0 ;
[sinx/2 =0 ; sinx/2 =2/3 .⇒[x/2 =πn ; x/2= arcsin(2/3) +πn ,n∈Z.⇔
[x =2πn ; x= 2arcsin(2/3) +2πn ,n∈Z.

4)  ;
* *cos2α =cos²α -sin²α =cos²α -(1-sin²α)=2cos²α -1⇒1+cos2α=2cos²α * *
cos3x = 1+cos2*(3x) ;  * * * α = 3x  * * *
cos3x = 2cos²3x ; 
2cos²3x -cos3x =0 ;
2cos3x(cos3x -1/2) =0 ;
[cos3x =0 ; cos3x =1/2 ⇒[3x=π/2+πn ; 3x= ±π/3+2πn ,n∈Z.⇔
[x=π/6+πn/3 ; x= ±π/9+(2π/3)*n ,n∈Z.
4,4(56 оценок)
Ответ:
rar18
rar18
20.05.2023
Используя свойства остатков

первое число дает остаток 1 при делении на 4
значит куб первого числа при делении на 4 даст такой же остаток как и 1 в кубе, т.е как число 1*1*1=1
число 1 при делении на 4 дает остаток 1
итого куб первого числа при делении на 4 даст остаток 1

второе число дает остаток 3 при делении на 4
значит куб второго числа при делении на 4 даст такой же остаток как и 3 в кубе, т.е. как число 3*3*3=27
число 27 при делении на 4 дает остаток 3

сумма кубов первого и второго чисел при делении на 4 даст такой же остаток какой даст при делении на 4 сумма остатков чисел при делении на 4, т.е. как число 1+3=4,
так как 4 при делении на 4 дает остаток 0, то
сумма кубов этих чисел кратна 4
----------------------------------
второй

так как первое число при делении на 4 дает остаток 1, то его можно записать в виде 4n+1, где n - некоторое целое число
аналогично второе можно записать в виде 4k+3, где k - некоторое целое число

сумма кубов этих чисел
(4n+1)^3+(4k+3)^3=(4n)^3+3*(4n)^2*1+4*(4n)*1^2+1^3+(4k)^3+3*(4k)^2*3+3*(4k)*3^2+3^3=\\\\64n^3+48n^2+16n+1+64k^3+144k^2+108k+27=\\\\64n^3+48n^2+16n+64k^3+144k^2+108k+28=\\\\4(16n^3+12n^2+4n+16k^3+36k^2+27k+7)
а значит сумма кубов делится нацело на 4. Доказано
4,5(52 оценок)
Это интересно:
Новые ответы от MOGZ: Алгебра
logo
Вход Регистрация
Что ты хочешь узнать?
Спроси Mozg
Открыть лучший ответ