М
Молодежь
К
Компьютеры-и-электроника
Д
Дом-и-сад
С
Стиль-и-уход-за-собой
П
Праздники-и-традиции
Т
Транспорт
П
Путешествия
С
Семейная-жизнь
Ф
Философия-и-религия
Б
Без категории
М
Мир-работы
Х
Хобби-и-рукоделие
И
Искусство-и-развлечения
В
Взаимоотношения
З
Здоровье
К
Кулинария-и-гостеприимство
Ф
Финансы-и-бизнес
П
Питомцы-и-животные
О
Образование
О
Образование-и-коммуникации
0000094
0000094
19.02.2022 00:18 •  Алгебра

у выражение:
a) -3a⁵b² × (7a³)²
б) -8x⁶y × (2x³)⁵

👇
Ответ:
Шкушвово
Шкушвово
19.02.2022

Объяснение:

Решаем пример а):

3a^5b^2*(7a^3)^2\\3a^5b^2*49a^6\\147a^{11}b^2

Решаем пример б):

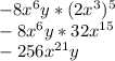
-8x^6y*(2x^3)^5\\-8x^6y*32x^{15}\\-256x^{21}y

4,7(63 оценок)
Открыть все ответы
Ответ:
Roblox2017
Roblox2017
19.02.2022

ответ:

10 минут

объяснение:

последняя строка таблицы говорит о том что ванна полностью опорожнилась за 60 минут, т.е.    

( \frac{1}{x+2} - \frac{1}{x})*60 = -1 \\  

\frac{x-x-2}{x(x+2)}*60 = -1 \\  

\frac{-2}{x(x+2)} = - \frac{1}{60} \\  

x(x+2)=120 \\  

x^{2} +2x-120=0 \\  

d = 4 + 4*120 = 484 \\  

\sqrt{d} = 22 \\  

x_{1} = \frac{-2+22}{2}=10 \\  

x_{2} = \frac{-2-22}{2}=-12 \\  

второй корень посторонний.  

ответ:   второй кран опорожнит полную ванну за 10 минут.  

4,4(57 оценок)
Ответ:
Давиденко
Давиденко
19.02.2022

Объяснение:

№1. Определить, проходит ли график функции y = x² – 6 через следующие точки:

A (1; -5); B (-3; -3); C (-3; 3); D (10; 94);  E (5; -19); F (-5; 19).

Чтобы определить принадлежность точки графику, нужно известные значения х и у (координаты точки) подставить в уравнение, если левая часть будет равна правой, значит, точка принадлежит графику и наоборот.

A (1; -5)                                            B (-3; -3)          

y=x²–6                                             y=x²–6

-5=1²-6                                            -3=(-3)²-6

-5= -5, проходит.                           -3≠3, не проходит.

C (-3; 3)                                            D (10; 94)

3=(-3)²-6                                           94=10²-6

3=3, проходит.                                94=94, проходит.

E (5; -19)                                           F (-5; 19)

-19=5²-6                                           19=(-5)²-6

-19≠19, не проходит.                       19=19, проходит.

№2. Построить график функции:

y = -4x + 1.

Построить график. График линейной функции, прямая линия. Придаём значения х, подставляем в уравнение, вычисляем у, записываем в таблицу. Для построения прямой достаточно двух точек, для точности построения определим три.

Таблица:

х    -1    0    1

у     5    1   -3

№3. Построить график функции:

y = x² – 5.

График парабола, ветви направлены вверх.

Координаты вершины (0; -5)

Таблица:

х     -4     -3     -2     0     2     3     4

у     11      4      -1     -5     -1     4    11

№4. Построить график функции:

y =10/х.

График гипербола.

Таблица:

х   -10    -5    -4     -2    -1     0     1     2     4      5     10

у     -1    -2    -2,5   -5   -10   -     10    5    2,5    2     1

№5. Построить график функции:

y = Ix + 1 I +3.​

График функции с модулем, имеет вид "галочки".

Координаты вершины данного графика (-1; 3)

Таблица:

х   -6    -4    -2    -1     0    2    4

у    8      6     4     3    4    6    8

4,6(53 оценок)
Это интересно:
Новые ответы от MOGZ: Алгебра
logo
Вход Регистрация
Что ты хочешь узнать?
Спроси Mozg
Открыть лучший ответ