




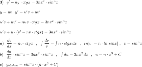
решение на фотографиях
Объяснение:
ОР - общее решение
ДУ - дифференциальное уравнение
ЛДУ - линейное ДУ
ОЛДУ - однородное линейное ДУ
y наиб = у max = 54
Объяснение:
Дана функция y= (27 - x) · √x
Производная этой функции 
Упростим это выражение 

х ≠ 0 , но этот разрыв производной нас не интересует, поскольку мы ищем наибольшее значение в интервале [1; 16]
y' = 0
(27 - 3x) = 0
Точка экстремума одна x = 9.
При х < 9 y' > 0; при х > 9 y' < 0. Следовательно, точка х = 9 - точка максимума. И на концах интервала при непрерывной производной в заданном интервале значения функции будут меньше её значения в точке локального максимума.
у наиб = у max = y(9) = (27 - 9) · √ 9 = 54