М
Молодежь
К
Компьютеры-и-электроника
Д
Дом-и-сад
С
Стиль-и-уход-за-собой
П
Праздники-и-традиции
Т
Транспорт
П
Путешествия
С
Семейная-жизнь
Ф
Философия-и-религия
Б
Без категории
М
Мир-работы
Х
Хобби-и-рукоделие
И
Искусство-и-развлечения
В
Взаимоотношения
З
Здоровье
К
Кулинария-и-гостеприимство
Ф
Финансы-и-бизнес
П
Питомцы-и-животные
О
Образование
О
Образование-и-коммуникации
baten
baten
10.06.2020 02:37 •  Алгебра

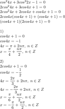
решить пример на фото ....​


решить пример на фото ....​

👇
Ответ:
ogannisyan2001
ogannisyan2001
10.06.2020

(см. объяснение)

Объяснение:

cos^24x+3cos^22x-1=0\\2cos^24x+3cos4x+1=0\\2cos^24x+2cos4x+cos4x+1=0\\2cos4x(cos4x+1)+(cos4x+1)=0\\(cos4x+1)(2cos4x+1)=0\\\\1)\\cos4x+1=0\\cos4x=-1\\4x=\pi+2n\pi,\;n\in Z\\x=\dfrac{\pi}{4}+\dfrac{n\pi}{2},\;n\in Z\\\\2)\\2cos4x+1=0\\cos4x=-\dfrac{1}{2}\\4x=\dfrac{2\pi}{3}+2n\pi,\;n\in Z\\4x=-\dfrac{2\pi}{3}+2n\pi,\;n\in Z\\x=\dfrac{\pi}{6}+\dfrac{n\pi}{2},\;n\in Z\\x=-\dfrac{\pi}{6}+\dfrac{n\pi}{2},\;n\in Z

Уравнение решено!

4,4(98 оценок)
Открыть все ответы
Ответ:
murplushka
murplushka
10.06.2020
Решение: 1)  пусть х кг   - вес третьего слитка, у кг - вес меди в третьем слитке. по условию в 1-ом слитке 30% меди, тогда 5·0,3 = 1,5 (кг) - чистой меди в первом слитке. по условию во 2-ом слитке тоже  30% меди, тогда 3·0,3 = 0,9 (кг) - чистой меди во втором    слитке. 2) если первый слиток сплавили с третьим, то вес получившегося слитка равен (5 + х) кг, а количество в нём меди - (1,5 + у) кг. по условию содержание меди при этом получилось равным 56%. составим уравнение:3)  если второй слиток сплавить с  третьим, то вес получившегося слитка равен (3 + х) кг, а количество в нём меди - (0,9 + у) кг. по условию содержание меди при этом получилось равным 60%. составим уравнение:4) составим и решим систему уравнений:сложив почленно обе части уравнения, получим, что 10 кг - вес третьего слитка6,9 кг меди в третьем слитке 5) найдём процентное  содержание меди в третьем слитке: % меди в третьем слитке. ответ: 69 %.
4,6(60 оценок)
Ответ:
Дря
Дря
10.06.2020
Вчём суть чётности( нечётности) функции? есть правила: 1) если f(-x) = f(x) , то  f(x) - чётная переводим на простой язык: если вместо "х" подставить "-х"  и функция при этом не изменилась, то она ( собака серая) чётная.                           2) если f(-x) = - f(x) , то  f(x) - нечётная переводим на простой язык: если вместо "х" подставить "-х"  и функция при этом поменяла знак, то она ( собака серая)  нечётная. наш пример: f(x) = x⁴ + 0,5x³ f(-x) = (-x)⁴ + 0,5*(-x)³ = x⁴ - 0,5x³  ≠ f(x)  ≠ -f(x) вывод: данная функция ни чётная, ни нечётная.
4,4(34 оценок)
logo
Вход Регистрация
Что ты хочешь узнать?
Спроси Mozg
Открыть лучший ответ