М
Молодежь
К
Компьютеры-и-электроника
Д
Дом-и-сад
С
Стиль-и-уход-за-собой
П
Праздники-и-традиции
Т
Транспорт
П
Путешествия
С
Семейная-жизнь
Ф
Философия-и-религия
Б
Без категории
М
Мир-работы
Х
Хобби-и-рукоделие
И
Искусство-и-развлечения
В
Взаимоотношения
З
Здоровье
К
Кулинария-и-гостеприимство
Ф
Финансы-и-бизнес
П
Питомцы-и-животные
О
Образование
О
Образование-и-коммуникации
Рустам2009
Рустам2009
23.06.2021 19:02 •  Алгебра

Производные решить, распишите подробно


Производные решить, распишите подробно

👇
Ответ:
costya99
costya99
23.06.2021

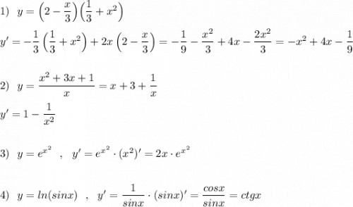
1)\ \ y=\Big(2-\dfrac{x}{3}\Big)\Big(\dfrac{1}{3}+x^2\Big)\\\\y'=-\dfrac{1}{3}\, \Big(\dfrac{1}{3}+x^2\Big)+2x\, \Big(2-\dfrac{x}{3}\Big)=-\dfrac{1}{9}-\dfrac{x^2}{3}+4x-\dfrac{2x^2}{3}=-x^2+4x-\dfrac{1}{9}\\\\\\2)\ \ y=\dfrac{x^2+3x+1}{x}=x+3+\dfrac{1}{x}\\\\y'=1-\dfrac{1}{x^2}\\\\\\3)\ \ y=e^{x^2}\ \ ,\ \ y'=e^{x^2}\cdot (x^2)'=2x\cdot e^{x^2}\\\\\\4)\ \ y=ln(sinx)\ \ ,\ \ y'=\dfrac{1}{sinx}\cdot (sinx)'=\dfrac{cosx}{sinx}=ctgx

5)\ \ y=u^2+3\sqrt{u}-1\ \ ,\ \ u=x^4+1\\\\y'=2u\cdot u'+\dfrac{3}{2\sqrt{u}}\cdot u'\\\\ili:\ \ \ y=(x^4+1)^2+3\sqrt{x^4+1}-1\\\\y'=2(x^4+1)\cdot 4x^3+\dfrac{3\cdot 4x^3}{2\sqrt{x^4+1}}=8x^3\cdot (x^4+1)+\dfrac{6x^3}{\sqrt{x^4+1}}

4,4(57 оценок)
Открыть все ответы
Ответ:
artmani228
artmani228
23.06.2021
Чертим трапецию АВСД  проводи одну диагональ ВД
получается 2 равнобедренных треугольника АДВ и ВСД
пусть α угол при основании треугольника который примыкает к верхнему основанию ∠СВД
β  ∠ВАД тогда из условий трап получаем ∠ВАД+∠АВС=180°
β+(β+α)=α+2β=180°
из треуг ВСД ∠ВСД=180°-2α=∠АВС=α+β решим систему уравнений
α+2β=180°        α=180°-2β       α=180°-2β                   α=180°-2β       α=180°-144°
180°-2α=α+β     3α+β=180°      3*180°-6β+β=180°        5β=360°           β=72°
α=36°
α+β=36°+72°=108°
тогда углы трапеции равны 72°, 108°, 108°, 72°
4,4(16 оценок)
Ответ:
Diana20006100500
Diana20006100500
23.06.2021
Чертим трапецию АВСД  проводи одну диагональ ВД
получается 2 равнобедренных треугольника АДВ и ВСД
пусть α угол при основании треугольника который примыкает к верхнему основанию ∠СВД
β  ∠ВАД тогда из условий трап получаем ∠ВАД+∠АВС=180°
β+(β+α)=α+2β=180°
из треуг ВСД ∠ВСД=180°-2α=∠АВС=α+β решим систему уравнений
α+2β=180°        α=180°-2β       α=180°-2β                   α=180°-2β       α=180°-144°
180°-2α=α+β     3α+β=180°      3*180°-6β+β=180°        5β=360°           β=72°
α=36°
α+β=36°+72°=108°
тогда углы трапеции равны 72°, 108°, 108°, 72°
4,5(88 оценок)
logo
Вход Регистрация
Что ты хочешь узнать?
Спроси Mozg
Открыть лучший ответ