М
Молодежь
К
Компьютеры-и-электроника
Д
Дом-и-сад
С
Стиль-и-уход-за-собой
П
Праздники-и-традиции
Т
Транспорт
П
Путешествия
С
Семейная-жизнь
Ф
Философия-и-религия
Б
Без категории
М
Мир-работы
Х
Хобби-и-рукоделие
И
Искусство-и-развлечения
В
Взаимоотношения
З
Здоровье
К
Кулинария-и-гостеприимство
Ф
Финансы-и-бизнес
П
Питомцы-и-животные
О
Образование
О
Образование-и-коммуникации
dilasagadatova
dilasagadatova
25.05.2022 15:26 •  Алгебра

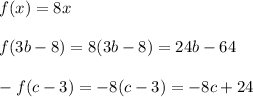
Дана функция у=f(x), где f(x)=8x найдите: а)f(3b-8) б)-f(c-3)

👇
Ответ:
elena2213
elena2213
25.05.2022

f(x)=8x\\\\f(3b-8)=8(3b-8)=24b-64\\\\-f(c-3)=-8(c-3)=-8c+24

4,7(71 оценок)
Открыть все ответы
Ответ:
DanyNeifeld
DanyNeifeld
25.05.2022
Пусть х(км/ч)-скорость второго автомобилиста, тогда скорость первого х+10 (км/ч)
Знаем расстояние (560 км), знаем скорость каждого автомобилиста. Отсюда найдём время (расстояние разделить на скорость). Получим:
560/х (скорость второго автомобилиста)
560/х+10 (скорость второго автомобилиста)Так как первый автомобилист приехал на 1 час раньше, чем второй, то получим такое уравнение:
560/х + 1= 560/х+10  (время второго автомобилиста + 1 час, за который он догнал первого = время первого автомобилиста)
И решаем это уравнение
Находим корни
Пишем в конце:По смыслу задачи х больше 0
находим скорости
4,7(64 оценок)
Ответ:
mabrenner41
mabrenner41
25.05.2022
Пусть х(км/ч)-скорость второго автомобилиста, тогда скорость первого х+10 (км/ч)
Знаем расстояние (560 км), знаем скорость каждого автомобилиста. Отсюда найдём время (расстояние разделить на скорость). Получим:
560/х (скорость второго автомобилиста)
560/х+10 (скорость второго автомобилиста)Так как первый автомобилист приехал на 1 час раньше, чем второй, то получим такое уравнение:
560/х + 1= 560/х+10  (время второго автомобилиста + 1 час, за который он догнал первого = время первого автомобилиста)
И решаем это уравнение
Находим корни
Пишем в конце:По смыслу задачи х больше 0
находим скорости
4,5(43 оценок)
Это интересно:
Новые ответы от MOGZ: Алгебра
logo
Вход Регистрация
Что ты хочешь узнать?
Спроси Mozg
Открыть лучший ответ