М
Молодежь
К
Компьютеры-и-электроника
Д
Дом-и-сад
С
Стиль-и-уход-за-собой
П
Праздники-и-традиции
Т
Транспорт
П
Путешествия
С
Семейная-жизнь
Ф
Философия-и-религия
Б
Без категории
М
Мир-работы
Х
Хобби-и-рукоделие
И
Искусство-и-развлечения
В
Взаимоотношения
З
Здоровье
К
Кулинария-и-гостеприимство
Ф
Финансы-и-бизнес
П
Питомцы-и-животные
О
Образование
О
Образование-и-коммуникации
vladrydskoj
vladrydskoj
11.04.2021 09:40 •  Алгебра

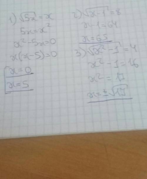
1)корень5х=х.2)корень х-1=8.3)корень х в квадрате - 1=4

👇
Ответ:
DashaTopjfnfvv
DashaTopjfnfvv
11.04.2021

на фото /%/%/%/%/%/%/%/%


1)корень5х=х.2)корень х-1=8.3)корень х в квадрате - 1=4
4,6(100 оценок)
Ответ:
мам65
мам65
11.04.2021

Объяснение:

корень 5х=х

5х=х^2

5x-x^2=0

x*(5-x)=0

x=0  и =5

корень х-1 =8

х-1 =64

х=64+1

х=65

корень х в квадрате - 1=4

х в квадрате -1=16

х в квадрате=16+1

х в квадрате=17

х=корень из 17 и корень из -17

4,7(74 оценок)
Открыть все ответы
Ответ:
При |x|≥2 x^2-4≥0.
Тогда при y≥-x^2 y+x^2=x^2-4, откуда y=-4. 
-4≥-x^2 ⇒ x^2≥4. Справедливо для всех x, для которых |x|≥2
При y<-x^2
-y-x^2=x^2-4
y=4-2x^2.
Должно выполняться 4-2x^2<-x^2, откуда x^2>4
опять же, справедливо для всех x, для которых |x|>2.
При |x|<2 x^2-4<0
Тогда при y≥-x^2 y+x^2=-x^2+4, откуда y=4-2x^2.
Должно выполняться 4-2x^2≥-x^2
x^2≤4. Неравенство верно при всех x, таких что |x|<2
При y<-x^2 -y-x^2=-x^2+4, откуда y=-4 
-4<-x^2 ⇒x^2<4 - Неравенство верно при всех x, таких что |x|<2
Соответственно, получается, что для всех x
справедливы следующие равенства:
y=-4
y=4-x^2.
Графиком данного уравнения являются 2 линии:
1) прямая, параллельная оси Ox, проходящая через точку (0;-4)
2) парабола с ветвями, направленными вниз, и вершиной в точке (0;4).
4,4(9 оценок)
Ответ:
sinocek1
sinocek1
11.04.2021
Острый угол параллелограмма равен 60°, значит, тупой угол равен 120° = 180° - 60°.

Диагональ делит тупой угол (120°) в соотношении 3:1. Значит, одна часть тупого угла составляет 30° = 120° : (3 + 1). Отсюда, три части составят 90°. Следовательно, диагональ перпендикулярна (⊥) двум сторонам параллелограмма и является одной из его высот.

Напротив угла 30° лежит меньшая сторона, напротив угла 60° - большая. Причём в таком прямоугольном треугольнике больший катет больше меньшего катета в 2 раза.

Пусть х - меньшая сторона параллелограмма, тогда 2х - большая сторона.
Периметр равен 2*(х + 2х) = 6х = р, откуда
мешьшая сторона х = р/6
большая сторона - р/3

По теореме Пифагора считаем высоту (диагональ):
h = \sqrt{( \frac{p}{6})^2 + ( \frac{p}{3})^2 } = p \sqrt{ \frac{1}{36}+ \frac{1}{9} } = \frac{ \sqrt{5} }{6}p
4,8(8 оценок)
Это интересно:
Новые ответы от MOGZ: Алгебра
logo
Вход Регистрация
Что ты хочешь узнать?
Спроси Mozg
Открыть лучший ответ