М
Молодежь
К
Компьютеры-и-электроника
Д
Дом-и-сад
С
Стиль-и-уход-за-собой
П
Праздники-и-традиции
Т
Транспорт
П
Путешествия
С
Семейная-жизнь
Ф
Философия-и-религия
Б
Без категории
М
Мир-работы
Х
Хобби-и-рукоделие
И
Искусство-и-развлечения
В
Взаимоотношения
З
Здоровье
К
Кулинария-и-гостеприимство
Ф
Финансы-и-бизнес
П
Питомцы-и-животные
О
Образование
О
Образование-и-коммуникации
zarinayespulov
zarinayespulov
05.04.2021 13:18 •  Алгебра

ТЕКСТ ЗАДАНИЯ Опиши свойства квадратичной функции y=x2-10x +24

ДИМА РЕШИ КАК И ОБЕЩАЛ
а) D(y) =
б) E(y)=
в) Вершина параболлы – (0)
г) функция возрастает на промежутке xe 0
д) функция убывает на хє (0)
е) нули функции x1=; х2=
ж) построй график заданной функции.

👇
Ответ:
Princesska88
Princesska88
05.04.2021

решение смотри на фотографии


ТЕКСТ ЗАДАНИЯ Опиши свойства квадратичной функции y=x2-10x +24 ДИМА РЕШИ КАК И ОБЕЩАЛ а) D(y) = б)
ТЕКСТ ЗАДАНИЯ Опиши свойства квадратичной функции y=x2-10x +24 ДИМА РЕШИ КАК И ОБЕЩАЛ а) D(y) = б)
4,4(98 оценок)
Ответ:

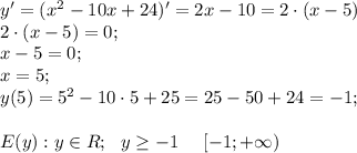
а) D(y): x\in R \ \ \ \ \ \ (-\infty;+\infty)\\

б)

y'=(x^2-10x+24)'=2x-10=2\cdot (x-5)\\ 2\cdot(x-5)=0; \\ x-5=0; \\ x=5; \\ y(5)=5^2-10\cdot 5+25=25-50+24=-1; \\ \\ E(y): y\in R; \ \ y\geq -1 \ \ \ \ [-1;+\infty)

в) вершина параболы:

x=-\frac{b}{2a}=-\frac{(-10)}{2\cdot 1}=\frac{10}{2}=5; \\ \\ y=5^2-10\cdot 5 +24=-1; \\ \\ (5;-1)

г) возрастает на промежутке x\in (5;+\infty)

д) т.к. a>0, то функция убывает на промежутке x\in(-\infty;5)

е)

x^2-10x+24=0; \\ \\ x_{1,2}=\frac{-(-10)\pm\sqrt{(-10)^2-4\cdot1\cdot 24}}{2\cdot 1}=\frac{10\pm\sqrt{100-96}}{2}=\frac{10\pm2}{2}; \\ \\ x_1=\frac{10+2}{2}=\frac{12}{2}=6; \ \ \ \ \ \ x_2=\frac{10-2}{2}=\frac{8}{2}=4

ж) на фото


ТЕКСТ ЗАДАНИЯ Опиши свойства квадратичной функции y=x2-10x +24 ДИМА РЕШИ КАК И ОБЕЩАЛ а) D(y) = б)
4,8(50 оценок)
Открыть все ответы
Ответ:
tanyushchik
tanyushchik
05.04.2021
1    х-3=3                                                                                                                х=6                                                                                                                                                                                                                                       2   cosx не будеть равно  10                                                                                                                                                                                                      3    x=100                                                                                                                                                                                                                                     4    x<5
4,4(27 оценок)
Ответ:
valwkebe
valwkebe
05.04.2021
 1а)  Каждая монета может упасть либо орлом (О)  либо решкой (Р), то есть две возможности.Монет всего 3.Тогда число возможных событий для 3-х монет равно 2^3=8.Вот варианты:
 (РРР) (РРО) (РОР) (ОРР) (ООР) (ОРО) (РОО) (ООО)
Два раза орёл и один раз решка выпадает в трёх случаях (ООР)  (ОРО) (РОО).
Вероятность равна 3/8.
1б) Если монету бросают дважды, то возможны случаи
 (ОО) (ОР) (РО) (РР)
 Вероятность ХОТЯ бы один раз выпасть орлу равна 3/4.
 2) Двойка выпадает с вероятностью 1/6 и пятёрка выпадает с вероятностью 1/6 .
Вероятность того, что выпадет или 2 или 5 равна 1/6+1/6=2/6=1/3
б)Чисел, меньших 3, на кубике всего два.Чисел,не больших 3 (меньше или равно 3),на кубике всего 3.Вероятность события равна
 2/6*3/6=6/36=1/6
4,5(9 оценок)
Это интересно:
Новые ответы от MOGZ: Алгебра
logo
Вход Регистрация
Что ты хочешь узнать?
Спроси Mozg
Открыть лучший ответ