Возможные варианты: 13 24 35 46 57 68 79 (просто перечислены возможные ответы, т к единиц на 2 больше чем десятков) теперь, число 144 это произведение двух целых чисел, одно из которых наш ответ, а второе - сумма цифр ответа, т к множители должны быть целыми, то значит и число 144 должно делиться целыми числами нацело, тоесть 144 делим на каждый вариант ответа, отсеиваем те, на которые 144 не разделится нацело, нацело делят числа: 24 ... и все, тоесть ответ 24 =) проверяем: 24 умножим на (2+4) получим 24*6=144
ответ: ,
,  
Объяснение:
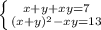
Сделаем замену Тогда:
  Тогда:
Суммируем оба уравнения и получаем:
Тогда из равенства находим
 находим  :
:
Имеем 2 системы:
Подставляем и решаем первую систему:
 и решаем первую систему:
Имеем ответы: и
  и  
Решаем вторую систему:
Система решений не имеет.