3 насоса наполняют 2-й танкер за 40 часов.
Объяснение:
Исправим условие задачи.
"Четыре одинаковых насоса, работая вместе, наполнили нефтью первый танкер и ЧЕТВЕРТЬ второго, другого объема, за 11часов. Если бы три насоса наполнили первый танкер, а затем ТРЕТЬ второго, то работа заняла бы 18часов. За сколько часов три насоса могут наполнить второй танкер?"
Пусть х - время, за которое 1 насос наполняет танкер А
у - время за которое 1 насос наполняет танкер В.
По 1-му условию:

или
4х + у = 176 (1)
По 2-му условию:

или
3х + у = 162 (2)
Вычтем из уравнения (1) уравнение (2)
х = 179 - 162
х = 14
Из уравнения (1) получим
у = 176 - 4х = 176 - 4 · 14 = 120
Один насос наполняет танкер В за 120 часов, тогда три насоса делают это в 3 раза быстрее, то есть за 40 часов
120ч : 3 = 40 ч
3x-6(1+x)=-9x+9
3x-6-6x=-9x+9
3x-6x+9x=9+6
6x=15
x=15/6
x=2.5
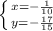
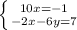
Вычитаем из верхнего уравнения нижнее, второе уравнение оставляем без изменений
Подставляем найденное неизвестное и находим второе неизвестное
Задача
Обозначим один угол
, другой 
Составим пропорцию
Из того, что треугольник прямоугольный следует, что
Получили систему уравнений
Решаем
Подставляем
ответ: большой острый угол 63 градуса.