М
Молодежь
К
Компьютеры-и-электроника
Д
Дом-и-сад
С
Стиль-и-уход-за-собой
П
Праздники-и-традиции
Т
Транспорт
П
Путешествия
С
Семейная-жизнь
Ф
Философия-и-религия
Б
Без категории
М
Мир-работы
Х
Хобби-и-рукоделие
И
Искусство-и-развлечения
В
Взаимоотношения
З
Здоровье
К
Кулинария-и-гостеприимство
Ф
Финансы-и-бизнес
П
Питомцы-и-животные
О
Образование
О
Образование-и-коммуникации
sascha4847
sascha4847
12.04.2023 04:06 •  Алгебра

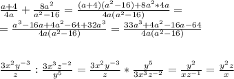
Выполнить действия : а) а+4/4а + 8а в квадрате/а в квадрате-16 б) (3х кв у в -3 )/z : (3х) в куб zв-2/у в 5 степ

👇
Ответ:
dvc
dvc
12.04.2023
\frac{a+4}{4a}+\frac{8a^2}{a^2-16}=\frac{(a+4)(a^2-16)+8a^2*4a}{4a(a^2-16)}=\\\
=\frac{a^3-16a+4a^2-64+32a^3}{4a(a^2-16)}=\frac{33a^3+4a^2-16a-64}{4a(a^2-16)}\\\ \\\ \\\
\frac{3x^2y^{-3}}{z} : \frac{3x^3z^{-2}}{y^5}=\frac{3x^2y^{-3}}{z} * \frac{y^5}{3x^3z^{-2}}=\frac{y^2}{xz^{-1}}=\frac{y^2z}{x}
4,6(42 оценок)
Открыть все ответы
Ответ:
dradya
dradya
12.04.2023
Если шифр пятизначный, то зафиксировав на втором месте цифру 5, а на последнем - цифру 0, получаем общее количество кодов для составления шифра замка: 5*1*5*5*1= 125
(Пояснение. Имеем 5 цифр. На первое место можно поставить любую из имеющихся пяти цифр, т.е. 7,8,5,1 и 0. Второе место "занято" цифрой 5, т.е. всего  один вариант. На третье и на четвёртое место можно поставить любую из имеющихся пяти цифр (см. рассуждение выше). На последнем месте - единственный вариант - цифра ноль). Осталось только перемножить полученные варианты и вывести результат)
4,6(32 оценок)
Ответ:
Artem636367
Artem636367
12.04.2023
А) 6х²-7х+1⩽0 d=49-24=25⇒xx=(7-5)/12=1/6 u x2=(7+5)/12=1          +                _              +                  1/6              11/6≤x≤1 4х-3⩽0 ⇒4x≤3⇒x≤0,75x∈[1/6; 0,75]б) х-5/х> 0  x=5  x=0            +                      _                      +                          0                  5x< 0 u x> 5 х-2> 0 ⇒x> 2 x∈(5; ∞)
4,8(35 оценок)
Это интересно:
Новые ответы от MOGZ: Алгебра
logo
Вход Регистрация
Что ты хочешь узнать?
Спроси Mozg
Открыть лучший ответ