М
Молодежь
К
Компьютеры-и-электроника
Д
Дом-и-сад
С
Стиль-и-уход-за-собой
П
Праздники-и-традиции
Т
Транспорт
П
Путешествия
С
Семейная-жизнь
Ф
Философия-и-религия
Б
Без категории
М
Мир-работы
Х
Хобби-и-рукоделие
И
Искусство-и-развлечения
В
Взаимоотношения
З
Здоровье
К
Кулинария-и-гостеприимство
Ф
Финансы-и-бизнес
П
Питомцы-и-животные
О
Образование
О
Образование-и-коммуникации
adamenkofamily
adamenkofamily
19.08.2020 23:00 •  Алгебра

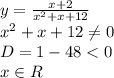
Найдите область определение функции y=(x+2)/(x^2+x+12)

👇
Ответ:
Пакемоник
Пакемоник
19.08.2020
y= \frac{x+2}{x^2+x+12}&#10;\\\ &#10;x^2+x+12 \neq 0&#10;\\\&#10;D=1-48<0&#10;\\\&#10;x\in R
ответ: х - любое число
4,8(80 оценок)
Ответ:
Знаменатель дроби не должен быть равен нулю т.е
x^2+x+12\neq0
уравнение не имеет корней значит
x-любое число
4,8(6 оценок)
Открыть все ответы
Ответ:
Kov3456
Kov3456
19.08.2020
Квадратные уравнения по моему это самая легкая тема из всего, что есть.
Все я делать не буду, я сделаю 3, чтоб понять суть.
Пример 1.
Делим все выражение на -1. Получаем: х2+8х+9=0
к=4
х2+4х+9=о
D= 4^2-9=-1
Дискриминант меньше 1, значит корней нет
Пример 3.
х2+6х+9=0
к=3
D= 3^2- 1*9=0
Дискриминант равен 0, значит один корень.
ответ: -3
И 8 пример
Тоже разделим выражение на -1, получим.
х2-2х-5=0
к=-2
D= (-2)^2-(-5)= 4+5=9=3^2
Дискриминант больше 0, значит 2 корня.
ответ: 5;-1
Во 2 номере находишь кони, складываешь их и пишешь ответ
В 3 номере указываешь наибольший корень. Удачи!
4,6(48 оценок)
Ответ:
Fluttys
Fluttys
19.08.2020
Б) f(x)=4-2x
f`(x)=(4-2x)`=(4)`-(2x)`=0-2·(x)`=-2·1=-2
Применили правила:
производная суммы( разности) равна сумме( разности) производных
Производная постоянной (C)`=0
Постоянный множитель можно вынести за знак производной
(х)`=1
Производная принимает во всех точках одно и то же значение (-2)
f`(0,5)=f`(-3)=-2

в) f(x)=3x-2
f`(x)=(3x-2)`=(3х)`-(2)`=3·(x)`-0=3·1=3
Применили правила:
производная суммы( разности) равна сумме( разности) производных
Производная постоянной (C)`=0
Постоянный множитель можно вынести за знак производной
(х)`=1
Производная принимает во всех точках одно и то же значение (3)
f`(5)=f`(-2)=3
4,5(69 оценок)
Это интересно:
Новые ответы от MOGZ: Алгебра
logo
Вход Регистрация
Что ты хочешь узнать?
Спроси Mozg
Открыть лучший ответ