М
Молодежь
К
Компьютеры-и-электроника
Д
Дом-и-сад
С
Стиль-и-уход-за-собой
П
Праздники-и-традиции
Т
Транспорт
П
Путешествия
С
Семейная-жизнь
Ф
Философия-и-религия
Б
Без категории
М
Мир-работы
Х
Хобби-и-рукоделие
И
Искусство-и-развлечения
В
Взаимоотношения
З
Здоровье
К
Кулинария-и-гостеприимство
Ф
Финансы-и-бизнес
П
Питомцы-и-животные
О
Образование
О
Образование-и-коммуникации
marinakoch
marinakoch
04.05.2021 14:13 •  Алгебра

4sin^2*5x-2(корень 2 + корень 3)sin5x+корень 6=0

👇
Ответ:
Goodmegaparadise
Goodmegaparadise
04.05.2021
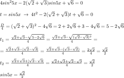
  4sin^25x-2(\sqrt2+\sqrt3)sin5x+\sqrt6=0\\\\t=sin5x\; \to \; 4t^2-2(\sqrt2+\sqrt3)t+\sqrt6=0\\\\\frac{D}{4}=(\sqrt2+\sqrt3)^2-4\sqrt6=2+2\sqrt6+3-4\sqrt6=5-2\sqrt6\\\\t_1=\frac{\sqrt2+\sqrt3-\sqrt{5-2\sqrt6}}{4}=\frac{\sqrt2+\sqrt3-\sqrt{(\sqrt2-\sqrt3)^2}}{4}=\\\\=\frac{\sqrt2+\sqrt3-|\sqrt2-\sqrt3|}{4}=\frac{\sqrt2+\sqrt3-(\sqrt3-\sqrt2)}{4}=\frac{2\sqrt2}{4}=\frac{\sqrt2}{2}\\\\t_2=\frac{\sqrt2+\sqrt3+|\sqrt2-\sqrt3|}{4}=\frac{\sqrt2+\sqrt3+\sqrt2-\sqrt3}{4}=\frac{\sqrt2}{2}\\\\sin5x=\frac{\sqrt2}{2}  
  5x=(-1)^n\cdot \frac{\pi}{4}+\pi n,n\in Z\\x=(-1)^n\cdot \frac{\pi}{20}+\frac{\pi n}{5}  
Здесь использована формула вычисления корней квадратного уравнения со вторым чётным коэффициентом (находят не D, а D/4 и корни=(-(b/2)^2+-sqrt(D/4))/a 
4,4(86 оценок)
Открыть все ответы
Ответ:
asdf43
asdf43
04.05.2021
Откинем от числа 2011 первые две цифры. Осталось 11. Умножаем само на себя: 11*11 = 121. То есть получается, что 11^{2} = 121. Далее откидываем от вновь получившегося числа ещё одну цифру(то есть стремимся, чтоб число состояло из двух цифр, ибо нужно узнать две последние цифры), получаем 21. 21 * 11 = 231. Проделываем ту же операцию ещё несколько раз: 31 * 11 = 341. 41 * 11 = 451... Наблюдаем закономерность: который раз мы умножаем получившееся число на 11, такая цифра и будет второй с конца(2011 * 2011 = ...21; ...21 * 2011 = ...31; ...31 * 2011 = ...41; и т.д., притом после накрутки первого десятка вторая цифра онулируется и всё по новой...), а первая с конца всегда единица. Таким образом, 2011^{2010} = ...01, а 2011^{2014} = ...41.
Две последние цифры полученного числа - это "4" и "1".
4,7(44 оценок)
Ответ:
ПАРРА
ПАРРА
04.05.2021
Откинем от числа 2011 первые две цифры. Осталось 11. Умножаем само на себя: 11*11 = 121. То есть получается, что 11^{2} = 121. Далее откидываем от вновь получившегося числа ещё одну цифру(то есть стремимся, чтоб число состояло из двух цифр, ибо нужно узнать две последние цифры), получаем 21. 21 * 11 = 231. Проделываем ту же операцию ещё несколько раз: 31 * 11 = 341. 41 * 11 = 451... Наблюдаем закономерность: который раз мы умножаем получившееся число на 11, такая цифра и будет второй с конца(2011 * 2011 = ...21; ...21 * 2011 = ...31; ...31 * 2011 = ...41; и т.д., притом после накрутки первого десятка вторая цифра онулируется и всё по новой...), а первая с конца всегда единица. Таким образом, 2011^{2010} = ...01, а 2011^{2014} = ...41.
Две последние цифры полученного числа - это "4" и "1".
4,5(28 оценок)
Это интересно:
Новые ответы от MOGZ: Алгебра
logo
Вход Регистрация
Что ты хочешь узнать?
Спроси Mozg
Открыть лучший ответ