М
Молодежь
К
Компьютеры-и-электроника
Д
Дом-и-сад
С
Стиль-и-уход-за-собой
П
Праздники-и-традиции
Т
Транспорт
П
Путешествия
С
Семейная-жизнь
Ф
Философия-и-религия
Б
Без категории
М
Мир-работы
Х
Хобби-и-рукоделие
И
Искусство-и-развлечения
В
Взаимоотношения
З
Здоровье
К
Кулинария-и-гостеприимство
Ф
Финансы-и-бизнес
П
Питомцы-и-животные
О
Образование
О
Образование-и-коммуникации
Alisher42Life
Alisher42Life
16.08.2022 01:27 •  Алгебра

Упростить выражение по алгебре 8 класс


Упростить выражение по алгебре 8 класс

👇
Ответ:
Рожочек11
Рожочек11
16.08.2022

Відповідь: - p

Пояснення: фото


Упростить выражение по алгебре 8 класс
4,5(92 оценок)
Ответ:
PerfectM1nd
PerfectM1nd
16.08.2022

-p

Объяснение:

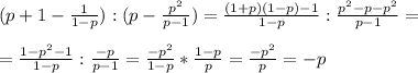
(p+1-\frac{1}{1-p} ):(p-\frac{p^2}{p-1} )=\frac{(1+p)(1-p)-1}{1-p} :\frac{p^2-p-p^2}{p-1} ==\frac{1-p^2-1}{1-p} :\frac{-p}{p-1} =\frac{-p^2}{1-p} *\frac{1-p}{p} =\frac{-p^2}{p} =-p

4,6(59 оценок)
Открыть все ответы
Ответ:
shvartsberg111
shvartsberg111
16.08.2022
Это число может заканчиваться на 0, 1, 4, 5,6, 9
девятка не подходит, если разность 9.  получается 9009 (не квадрат, что можно проверить на калькуляторе, используя корень)
далее разбираем поочередно каждый вариант
цифра 0 отпадает сразу, т.к. нет квадрата числа, в котором первые две цифры были бы одинаковыми, а заканчивалось бы число на два ноля
пятерка - квадрат должен заканчиваться на 25, поэтому отпадает
шестерку получаем в случаях:
9-3
8-2
7-1
6-0
в этом случае получатся такие числа: 9306 8206 7106 6006 (квадратами не являются)
по такой же схеме разбираем цифру 4..получатся: 9504 8404 6204 5104 4004(не квадраты)
разбирая цифру 1, сразу находим правильный ответ (9-8)..для проверки можно перебрать все варианты, среди которых квадратов не будет...поэтому правильный ответ:9801=99^2.
4,5(23 оценок)
Ответ:
Kisyshka
Kisyshka
16.08.2022
Чтобы разложить квадратный трёхчлен на множители, надо найти его корни, приравняв нулю. Т.е. ищем корни уравнения 3x² - 11x + 6 = 0.
Корни можно искать как обычно через дискриминант. Они будут равны:
x1 = 3; x2 = 2/3
Разложение будет выглядеть следующим образом: (x - 3)*(x - 2/3).

НО! Надо ещё учесть коэффициент, который стоит перед x², у нас он равен 3. Так вот, полученное разложение надо умножить на этот коэффициент!

Окончательно разложение будет выглядеть так:
3*(x - 3)*(x - 2/3) = (x - 3)*(3x - 2)

Общее правило для уравнений вида
a x² + b x + c
которые имеют корни x1 и x2, можно разложить по формуле
a * (x - x1) * (x - x2)

Что мы и сделали.
Проверяем
(x - 3)*(3x - 2) = 3x² - 2x - 9x + 6 = 3x² - 11x + 6
4,6(73 оценок)
Это интересно:
logo
Вход Регистрация
Что ты хочешь узнать?
Спроси Mozg
Открыть лучший ответ