М
Молодежь
К
Компьютеры-и-электроника
Д
Дом-и-сад
С
Стиль-и-уход-за-собой
П
Праздники-и-традиции
Т
Транспорт
П
Путешествия
С
Семейная-жизнь
Ф
Философия-и-религия
Б
Без категории
М
Мир-работы
Х
Хобби-и-рукоделие
И
Искусство-и-развлечения
В
Взаимоотношения
З
Здоровье
К
Кулинария-и-гостеприимство
Ф
Финансы-и-бизнес
П
Питомцы-и-животные
О
Образование
О
Образование-и-коммуникации
cuxoyww
cuxoyww
27.02.2023 10:03 •  Алгебра

Даны арифметическая и прогрессии. сумма их первых членов равна –3, сумма третьих членов равна 1, а сумма пятых членов равна 5. найдите разность арифметической прогрессии.

👇
Ответ:
rotaru1930
rotaru1930
27.02.2023
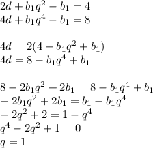
a_{1}+b_{1}=-3\\
a_{3}+b_{3}=1\\
a_{5}+b_{5}=5\\
\\
a_{1}+b_{1}=-3\\
a_{1}+2d+b_{1}q^2=1\\
a_{1}+4d+b_{1}q^4=5\\
\\
-3-b_{1}+2d+b_{1}q^2=1\\
-3-b_{1}+4d+b_{1}q^4=5\\
\\
2d+b_{1}q^2-b_{1}=4\\
4d+b_{1}q^4-b_{1}=8\\


2d+b_{1}q^2-b_{1}=4\\
4d+b_{1}q^4-b_{1}=8\\
\\
4d=2(4-b_{1}q^2+b_{1})\\
4d=8-b_{1}q^4+b_{1}\\
\\
8-2b_{1}q^2+2b_{1}=8-b_{1}q^4+b_{1}\\
-2b_{1}q^2+2b_{1}=b_{1}-b_{1}q^4\\
-2q^2+2=1-q^4\\
q^4-2q^2+1=0\\
q=1\\


тогда очевидно что 
a_{1}+2d+b_{1}q^2=1\\
a_{1}+2d+b_{1}=1\\
a_{1}+4d+b_{1}=5\\
\\
\\
1-a_{1}-2d=5-a_{1}-4d\\
1-2d=5-4d\\
-4=-2d\\
d=2

ответ разность именно арифметической равна 2 
4,4(35 оценок)
Открыть все ответы
Ответ:
vadimkvitko20
vadimkvitko20
27.02.2023

Пусть х-скорость первого пешехода,тогда х-1 - скорость второго пешехода. ТАк как путь и того и другого равен 5 км/ч,тогда скорость первого пешехода 5/x, а второго 5/x-1. Ещ нам известно,что второму понадобилось на 15 минут больше чем первому. ПОэтому составим уравнение:

5/x-1 - 5/x=15

 x(x-1)

домножим каждую дробь на недостающий множитель,получим:

5х-5х+5-15х^2-15х=-15х^2-15х+5---это числитель

х^2-хзнаменатель,он должен быть не равен 0(так как знаменатель отличен от нуля)значит х не равен 0 и не равен 1

а числитель равен о

-15х^2 -15х +5=0 разделим обе части на - 5

3х^2+3х-1=0

находим дискриминант 9+12=21

 

 

 

4,6(40 оценок)
Ответ:
omardakak
omardakak
27.02.2023
Дано:
Цена одной розы= 25 руб./шт.
Букет учителю=5 роз
Букет руководителю и директору=7 роз
Всего учителей=18
Найти: Стоимость всех роз=? рублей
Решение
1) Посчитаем сколько учителей поздравят выпускники, исключая одного руководителя и директора:
18-1-1=16 (учителей).
2) Букет для учителей состоит из 5 роз, значит всего роз в 16 букетах составит:
16*5=80 (роз)
3) В букете для руководителя и учителя по 7 роз, значит всего в 2 букетах будет:
2*7=14 (роз)
4) Всего для букетов выпускникам понадобится:
80+14=94 (розы)
5) Стоимость одной розы составляет 25 рублей, тогда 94 розы будут стоить:
94*25=2350 (рублей)
ответ: все розы обойдутся ученикам в 2350 рублей.
4,6(98 оценок)
Новые ответы от MOGZ: Алгебра
logo
Вход Регистрация
Что ты хочешь узнать?
Спроси Mozg
Открыть лучший ответ