М
Молодежь
К
Компьютеры-и-электроника
Д
Дом-и-сад
С
Стиль-и-уход-за-собой
П
Праздники-и-традиции
Т
Транспорт
П
Путешествия
С
Семейная-жизнь
Ф
Философия-и-религия
Б
Без категории
М
Мир-работы
Х
Хобби-и-рукоделие
И
Искусство-и-развлечения
В
Взаимоотношения
З
Здоровье
К
Кулинария-и-гостеприимство
Ф
Финансы-и-бизнес
П
Питомцы-и-животные
О
Образование
О
Образование-и-коммуникации
kz2388
kz2388
07.04.2020 17:23 •  Алгебра

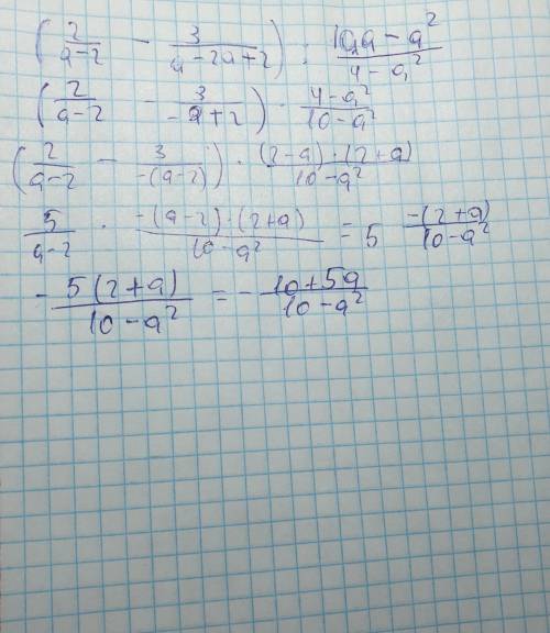
Нужно решение по действиям!


Нужно решение по действиям!

👇
Ответ:
гглол
гглол
07.04.2020

Объяснение:

решение по действиям


Нужно решение по действиям!
4,7(7 оценок)
Открыть все ответы
Ответ:
Nikita9244
Nikita9244
07.04.2020
Пусть x - 7 - меньшая сторона прямоугольника. Тогда (x - 7) + 14 = x + 7 - большая сторона.
По теореме Пифагора
(x - 7)^2 + (x + 7)^2 = 26^2
x^2 - 14x + 49 + x^2 + 14x + 49 = 676
2x^2 + 2 * 49 = 676
x^2 + 49 = 338
x^2 = 289
x^2 = 17^2
x = 17 (отрицательный корень не подойдёт).

Тогда стороны равны 17 - 7 = 10 и 17 + 7 = 24.

ответ. 10 и 24.



Если обозначить стороны x и x + 14, получится немного другое уравнение
x^2 + (x + 14)^2 = 676
2x^2 + 28x + 196 = 676
x^2 + 14x - 240 = 0
x = 10, второй корень отрицательный.
Тогда вторая сторона 10 + 14 = 24.

ответ получился такой же.
4,8(34 оценок)
Ответ:
1) Представьте в виде суммы произведения (x^2-4y) (x-4y^2)
---
(x²-4y) (x-4y² ) =x³ - 4x²y²  -4xy +16y³. 

2) Преобразуйте в многочлен стандартного вида (x-y) (x^2+xy+y^2)
---
(x-y) (x²+xy+y²)  = x³ - y³   ( формула сокращенного умножения )

3) Разложить на множители 4a-3b+12ax-9bx
---
4a-3b+12ax-9bx =(4a-3b)+3x(4a  -3b) = (4a  -3b)(1+3x).

4) Разложите на множители x^2y-xy^2+3+x-y+3xy
---
x²y - xy² + 3+ x - y+ 3xy =xy(x-y) +(x-y) +3xy+3  =(x-y)(xy+1) +3(xy+1) =
(xy+1)(x-y +3).

5) Преобразуйте в многочлен стандартного вида (x-y) (x^2+xy-y^2)
---
(x-y) (x²+xy - y²) =x³ +x²y -xy² - yx² -xy² +y³ =x³ -2xy² +y³.

6) Разложить на множители 6a-5b+18ay-15by
---
6a-5b+8ay-15by =(6a+18ay) - (5b+5by) =6a(1+3y) - 5b(1+3y) =(1+3y)(6a-5b).

* * *  Другой  раз не больше 3-х примеров * * *
4,8(36 оценок)
Это интересно:
Новые ответы от MOGZ: Алгебра
logo
Вход Регистрация
Что ты хочешь узнать?
Спроси Mozg
Открыть лучший ответ