М
Молодежь
К
Компьютеры-и-электроника
Д
Дом-и-сад
С
Стиль-и-уход-за-собой
П
Праздники-и-традиции
Т
Транспорт
П
Путешествия
С
Семейная-жизнь
Ф
Философия-и-религия
Б
Без категории
М
Мир-работы
Х
Хобби-и-рукоделие
И
Искусство-и-развлечения
В
Взаимоотношения
З
Здоровье
К
Кулинария-и-гостеприимство
Ф
Финансы-и-бизнес
П
Питомцы-и-животные
О
Образование
О
Образование-и-коммуникации
3296121116i
3296121116i
09.10.2022 11:32 •  Алгебра

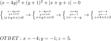
Найти x, y, z, для которых справедливо равенство (x-4y)²+(y+1)²+lx+y+zl=0

👇
Ответ:
BMW535
BMW535
09.10.2022
(x-4y)^2+(y+1)^2+|x+y+z|=0 \\ \\ \left \{ {{x-4y=0} \atop {y+1=0}}\atop {|x+y+z|=0} \right. \to \left \{ {{x-4y=0} \atop {y+1=0}}\atop {x+y+z=0} \right. \to \left \{ {{x=4y} \atop {y=-1}}\atop {z=-x-y} \right. \to \left \{ {{y=-4} \atop {y=-1}}\atop {z=4+1=5} \right. \\ \\ \\ \\ OTBET:x=-4;y=-1;z=5.
4,8(17 оценок)
Ответ:
vipmurlyan
vipmurlyan
09.10.2022
(x-4y)²+(y+1)²+/x+y+z/=0
Сумма положительных равна 0 только в том случае,когда каждое слагаемое равно 0
х-4у=0⇒х=4у
у+1=0⇒у=-1⇒х=-4
х+y+z=0⇒-4-1+z=0⇒z=5
4,8(3 оценок)
Открыть все ответы
Ответ:
робот60
робот60
09.10.2022

Поиск...

3

anast123

04.12.2011

Алгебра

10 - 11 классы

ответ дан • проверенный экспертом

Построить график функции: y=(Log1/2х)+2

2

ПОСМОТРЕТЬ ОТВЕТЫ

ответ, проверенный экспертом

3,0/5

56

dtnth

12.1 тыс. ответов

55.8 млн пользователей, получивших

график во вложенном файле

Darmaidayxx и 82 других пользователей посчитали ответ полезным!

56

3,0

(26 оценок)

ответ

3,0/5

51

aid161

новичок

5 ответов

1.7 тыс. пользователей, получивших

нужно составить таблицу: x 1/2 2 4

y 3 1 0

и по 3 этим точкам на координатной плоскости легко строится график.

4,6(92 оценок)
Ответ:

(-1; 2) , (2; - 1).

Объяснение:

1) {х³ + у³ = 7

{ху(х+у) = - 2;

{(х+ у)(х²-ху+у²) = 7

{ху(х+у) = - 2;

{(х+ у)((х+у)² -3ху) = 7

{ху(х+у) = - 2;

Пусть х+у = а; xy = b, получим

{а(а² - 3b) = 7,

{ba = - 2;

{а³ - 3ba = 7,

{ba = - 2;

{а³ + 6 = 7,

{ba = - 2;

{а³ = 1,

{ba = - 2;

{а = 1,

{ba = - 2;

{a = 1,

{b = - 2.

2) Получили, что

{х + у = 1,

{ху = - 2.

{х = 1 - у

{(1-у)у = - 2

{х = 1 - у

{-у² + у = - 2

{х = 1 - у

{у² - у - 2 = 0;

{ х = 1 - у,

{ у = 2 или у = - 1

{х = - 1. или {х = 2

{у = 2; {у = - 1.

(-1; 2) , (2; - 1)

Проверка:

1) (-1; 2)

{(-1)³ + 2³ = 7 - верно;

{ -2•(-1 + 2) = -2 - верно.

2) (2; - 1)

{2³ + (-1)³ = 7 - верно;

{ -2•(2-1) = -2 - верно

4,8(77 оценок)
Это интересно:
logo
Вход Регистрация
Что ты хочешь узнать?
Спроси Mozg
Открыть лучший ответ