М
Молодежь
К
Компьютеры-и-электроника
Д
Дом-и-сад
С
Стиль-и-уход-за-собой
П
Праздники-и-традиции
Т
Транспорт
П
Путешествия
С
Семейная-жизнь
Ф
Философия-и-религия
Б
Без категории
М
Мир-работы
Х
Хобби-и-рукоделие
И
Искусство-и-развлечения
В
Взаимоотношения
З
Здоровье
К
Кулинария-и-гостеприимство
Ф
Финансы-и-бизнес
П
Питомцы-и-животные
О
Образование
О
Образование-и-коммуникации
Mymail10
Mymail10
30.10.2021 07:54 •  Алгебра

Выражение. запишите подробно. первая картинка - . вторая картинка - ответ.

👇
Ответ:
2vovanavi
2vovanavi
30.10.2021

Решение во вложении:


Выражение. запишите подробно. первая картинка - . вторая картинка - ответ.
4,6(27 оценок)
Ответ:

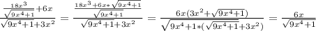
\frac{\frac{18x^{3}}{\sqrt{9x^{4}+1}}+6x }{\sqrt{9x^{4}+1 }+3x^{2} } =\frac{\frac{18x^{3}+6x*\sqrt{9x^{4} +1}} {\sqrt{9x^{4}+1 }} }{\sqrt{9x^{4}+1 } +3x^{2} }=\frac{6x(3x^{2}+\sqrt{9x^{4}+1 })}{\sqrt{9x^{4}+1*(\sqrt{9x^{4} +1}}+3x^{2})}=\frac{6x}{\sqrt{9x^{4} +1} }

4,6(34 оценок)
Открыть все ответы
Ответ:
FTA72артем
FTA72артем
30.10.2021
Треугольник ЕСF будет подобен треугольнику АЕD по двум углам (угол CEF равен углу AED, как вертикальные углы, угол ADE будет равен углу FCE, как накрест лежащие углы, образованные при пересечении двух параллельных прямых BC и AD секущей CD). В подобных треугольниках стороны пропорциональны, значит СF/AD = EC/ED. AB=CD=8 (как противоположные стороны параллелограмма). СD= EC+ED, а отсюда ED = CD-EC. Пусть EC=х, тогда CF/AD = х/8-х, 2/5=х/8-х, 5х=2(8-х), 7х=16, х= 2 целых 2/7. Значит, EC = 2 целых 2/7. Тогда ED=CD-EC=8-2 целых 2/7= 5 целых 5/7
4,4(78 оценок)
Ответ:
lizakocirbenck
lizakocirbenck
30.10.2021
К1, К2, К3, К4, К5      С3, С4, С5, С6
3 и 5 - простые числа, т. е. получаем комбинации К1-С3-К3 и К1-С5-К5.
Поскольку карточка К1 только одна, объединяем эти две комбинации в одну:
К3-С3-К1-С5-К5.
Среди оставшихся С3 и С4 нет кратного К5. Это означает, что карточка К5 - обязательно крайняя.
Дальше продолжаем расладывать в левую сторону.
Кратным к К3 является С6: С6-К3-С3-К1-С5-К5.
Делителем С6, помимо К3, является К2: К2-С6-К3-С3-К1-С5-К5.
Кратным к К2 является С4: С4-К2-С6-К3-С3-К1-С5-К5.
Делителем С4 является К4: К4-С4-К2-С6-К3-С3-К1-С5-К5.
Сумма чисел на средних трёх картах: 6+3+3=12.
4,4(13 оценок)
Это интересно:
Новые ответы от MOGZ: Алгебра
logo
Вход Регистрация
Что ты хочешь узнать?
Спроси Mozg
Открыть лучший ответ