М
Молодежь
К
Компьютеры-и-электроника
Д
Дом-и-сад
С
Стиль-и-уход-за-собой
П
Праздники-и-традиции
Т
Транспорт
П
Путешествия
С
Семейная-жизнь
Ф
Философия-и-религия
Б
Без категории
М
Мир-работы
Х
Хобби-и-рукоделие
И
Искусство-и-развлечения
В
Взаимоотношения
З
Здоровье
К
Кулинария-и-гостеприимство
Ф
Финансы-и-бизнес
П
Питомцы-и-животные
О
Образование
О
Образование-и-коммуникации
milka294
milka294
08.05.2020 09:22 •  Алгебра

35 б. іть рівняння дотичної до графіка функції(составьте уравнение касательной к графику функции)1) f(x)=\frac{1}{x} в точке x₀=-2.2)складіть рівняння дотичної до графіка функції f(x)=\sqrt{x} в точке x₀=4

👇
Ответ:
адам121
адам121
08.05.2020

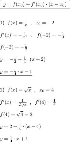
\boxed {\; y=f(x_0)+f'(x_0)\cdot (x-x_0)\; }\\\\\\1)\; \; f(x)=\frac{1}{x}\; \; ,\; \; x_0=-2\\\\f'(x)=-\frac{1}{x^2}\; \; ,\; \; \; f(-2)=-\frac{1}{4}\\\\f(-2)=-\frac{1}{2}\\\\y=-\frac{1}{2}-\frac{1}{4}\cdot (x+2)\\\\\underline {y=-\frac{1}{4}\cdot x-1}\\\\\\2)\; \; f(x)=\sqrt{x}\; \; ,\; \; x_0=4\\\\f'(x)=\frac{1}{2\sqrt{x}}\; \; ,\; \; f'(4)=\frac{1}{4}\\\\f(4)=\sqrt{4}=2\\\\y=2+\frac{1}{4}\cdot (x-4)\\\\\underline {y=\frac{1}{4}\cdot x+1}

4,5(89 оценок)
Открыть все ответы
Ответ:
amelkumjan
amelkumjan
08.05.2020
Пусть второй рабочий в час делает х деталей, тогда первый рабочий в час делает х+3 детали
Первый рабочий затрачивает на производство 112 деталей: 112/(х+3) часов,
тогда второй рабочий на производство 150 деталей затрачивает 150/х часов
Составим уравнение:
150/х-112/(х+3)=2
150/х-112/(х+3)-2=0
Общий знаменатель х(х+3), тогда
(150(х+3)-112х-2*х(х+3))/x(x+3)=0    ОДЗ х не равно 0 ; -3

Раскроим скобки и решим уравнение:
150х+450 -112х-2х²-6х=0 
32х-2х²+450=0 (умножим на -1)
2х²-32х-450=0 (сократим на 2)
х²-16х-225=0
Найдем дискриминант:
D=b²-4ac=(-16)²-4*1*(-225)=256+900=1156
х1=(-b+√D)/2*a=(-(-16)+√1156)/2*1=(16+34)/2=25
х2=(-b-√D)/2*a=(-(-16)-√1156)/2*1=(16-34)/2= - 9 < 0 - не подходит
ответ: Второй рабочий в час изготовляет 25 деталей.
4,6(33 оценок)
Ответ:
75545
75545
08.05.2020
Пусть неизвестное целое число равно х, 
тогда х-1 и х+1 - целые числа, расположенные слева и справа
 от числа х, соответственно.
По условию, сумма квадратов данных чисел равна 869.
Составим уравнение:
(х-1)²+х²+(х+1)²=869
х²-2х+1+х²+х²+2х+1=869
3х²+2=869
3х²=869-2
3х²=867
х²=867:3
х²=289
х=б \sqrt{289}
x=б17

1) x=17
    x-1=17-1=16
    x+1=17+1=18
    Получаем, 16, 17 и 18 - три последовательных целых числа
    Проверка: 16²+17²+18²=256+289+324=869
2) х=-17
    х-1=-17-1=-18
    х+1=-17+1=-16
    Получаем, -18, -17 и -16 - три последовательных целых числа
    Проверка:(-18)²+(-17)²+(-16)²=324+289+256=869

ответ: 16, 17 и 18;  -18, -17 и -16
4,8(14 оценок)
Это интересно:
Новые ответы от MOGZ: Алгебра
logo
Вход Регистрация
Что ты хочешь узнать?
Спроси Mozg
Открыть лучший ответ