1 задание.
1)см.фото 1
2)см.фото 2
2 задание.
8^(-x+2)=8^(-x)•8^2=(1/8)^x•64=(1/(8)^x)•64=1/5•64=64/5=12,8
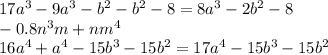
3 задание.
см.фото 3.
4 задание.
Чтобы сравнить 0,7^-3/8 и 0,7^-5/8, нужно привести их к более простому виду, то есть сделать степени положительными,для этого следует 0,7 занести в знаменатель, а в числителе поставить единицу:
(1/0,7)^3/8 и (1/0,7)^5/8. Числа у нас одинаковые, значит сравниваем степени, степень 5/8 больше степени 3/8, значит 0,7^-3/8 < 0,7^-5/8.
ответ: 0,7^-5/8 > 0,7^-3/8.
5 задание.
0,3(1)=31-3/100-10=28/90=14/45
6 задание.
см.фото 4-6
Объяснение:



