М
Молодежь
К
Компьютеры-и-электроника
Д
Дом-и-сад
С
Стиль-и-уход-за-собой
П
Праздники-и-традиции
Т
Транспорт
П
Путешествия
С
Семейная-жизнь
Ф
Философия-и-религия
Б
Без категории
М
Мир-работы
Х
Хобби-и-рукоделие
И
Искусство-и-развлечения
В
Взаимоотношения
З
Здоровье
К
Кулинария-и-гостеприимство
Ф
Финансы-и-бизнес
П
Питомцы-и-животные
О
Образование
О
Образование-и-коммуникации
tsattorzoda99
tsattorzoda99
18.08.2020 06:42 •  Алгебра

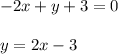
Преобразуйте линейное уравнение к виду функции и постройте её график -2x+y+3=0

👇
Ответ:
никич43
никич43
18.08.2020
-2x+y+3=0 \\ \\ y=2x-3

График линейной функции, прямая, проходящая через точки (0;-3), (1.5;0)
Преобразуйте линейное уравнение к виду функции и постройте её график -2x+y+3=0
4,8(44 оценок)
Открыть все ответы
Ответ:
poshel0naher
poshel0naher
18.08.2020

Суть в том, что четырехугольник надо разбить на два треугольника, проведя СK. Тогда площадь треугольника МКС будет равна площади треугольника АКМ (так как проведена медиана). Если обозначить площадь треугольника АВК за S, то площадь АКМ=площадьМКС=1,5 S. Если обозначить площадь треугольника КВР за S1, то площадь треугольника КРС будет равна 3S1 (треугольники подобны). Так как  площадь треугольников АВМ и МВС равны (проведена медиана), и площади АКМ и КМС равны, значит, площади АВК и ВКС тоже равны. Получается, что S=S1+3S1 => S=4S1. Далее, отношение площади АВК к КРСМ будет равно отношению S к (3S1+1,5S), куда вместо S1 нужно подставить 0,25S, в итоге получается 4/9.

ответ: 4/9

4,4(59 оценок)
Ответ:
mirst14
mirst14
18.08.2020

Суть в том, что четырехугольник надо разбить на два треугольника, проведя СK. Тогда площадь треугольника МКС будет равна площади треугольника АКМ (так как проведена медиана). Если обозначить площадь треугольника АВК за S, то площадь АКМ=площадьМКС=1,5 S. Если обозначить площадь треугольника КВР за S1, то площадь треугольника КРС будет равна 3S1 (треугольники подобны). Так как  площадь треугольников АВМ и МВС равны (проведена медиана), и площади АКМ и КМС равны, значит, площади АВК и ВКС тоже равны. Получается, что S=S1+3S1 => S=4S1. Далее, отношение площади АВК к КРСМ будет равно отношению S к (3S1+1,5S), куда вместо S1 нужно подставить 0,25S, в итоге получается 4/9.

ответ: 4/9

4,7(46 оценок)
Это интересно:
Новые ответы от MOGZ: Алгебра
Полный доступ к MOGZ
Живи умнее Безлимитный доступ к MOGZ Оформи подписку
logo
Вход Регистрация
Что ты хочешь узнать?
Спроси Mozg
Открыть лучший ответ