М
Молодежь
К
Компьютеры-и-электроника
Д
Дом-и-сад
С
Стиль-и-уход-за-собой
П
Праздники-и-традиции
Т
Транспорт
П
Путешествия
С
Семейная-жизнь
Ф
Философия-и-религия
Б
Без категории
М
Мир-работы
Х
Хобби-и-рукоделие
И
Искусство-и-развлечения
В
Взаимоотношения
З
Здоровье
К
Кулинария-и-гостеприимство
Ф
Финансы-и-бизнес
П
Питомцы-и-животные
О
Образование
О
Образование-и-коммуникации
kristina160225
kristina160225
24.02.2022 23:02 •  Алгебра

Решить уравнение: tg(5x-п/3)=корень из 3

👇
Ответ:
katyu1234
katyu1234
24.02.2022

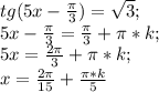
tg(5x-П/3)=корень из 3;

tg(5x-\frac{\pi}{3})=\sqrt 3;\\5x-\frac{\pi}{3}=\frac{\pi}{3}+\pi*k;\\5x=\frac{2\pi}{3}+\pi*k;\\ x=\frac{2\pi}{15}+\frac {\pi*k}{5}\\

k є Z

4,5(55 оценок)
Открыть все ответы
Ответ:
goldshell
goldshell
24.02.2022

57 мест

Объяснение:

Пусть в первом ряду число мест равно a. И в каждом следующем ряду на x мест больше, чем в предыдущем.

Тогда во втором ряду a+x, в третьем ряду a+2x, в чевертом ряду a+3x, в пятом a+4x, ... в девятом a+8x, ... в последнем 21-ом ряду a+20x

(коэффициент, на который умножается x, на 1 меньше, чем номер ряда)

1) В условиях дано, что в пятом ряду 25 мест, то есть a+4x=25. Значит a=25-4x

2) В девятом ряду 33 места, значит a+8x=33

подставим в это уравнение выражение для a из пункта 1:

a+8x=33

(25-4x)+8x=33

25-4x+8x=33

25+4x=33

4x=33-25

4x=8

x=8/4=2

Подставим полученное значение x=2 в выражение из пунката 1:

a=25-4x=25-4*2=25-8=17

Тогда в последнем ряду  a+20x = 17+20*2=17+40 = 57 мест

4,7(86 оценок)
Ответ:
лана278
лана278
24.02.2022

ответ: у=1,055

Объяснение:

1. Раскрываем скобки:

10,4=7,2у+2,8

2. Переносим:

- неизвестные в одну сторону( влево), при этом меняем знак на противоположный ( если переносим);

- известные в другую сторону( вправо), при этом меняем знак на противоположный ( если переносим).

-7,2у=2,8-10,4

3. Решаем как простое уравнение, находим у. Мы видим перед собой произведение чисел, 2-ой множитель нам неизвестен (у). Чтобы найти 2-ой множитель ( у), нужно произведение( -7,6 ) разделить на 1-ый множитель (-7,2).

-7,2у=-7,6

у=-7,6÷-7,2

у=1,055

4,4(46 оценок)
Это интересно:
Новые ответы от MOGZ: Алгебра
logo
Вход Регистрация
Что ты хочешь узнать?
Спроси Mozg
Открыть лучший ответ