М
Молодежь
К
Компьютеры-и-электроника
Д
Дом-и-сад
С
Стиль-и-уход-за-собой
П
Праздники-и-традиции
Т
Транспорт
П
Путешествия
С
Семейная-жизнь
Ф
Философия-и-религия
Б
Без категории
М
Мир-работы
Х
Хобби-и-рукоделие
И
Искусство-и-развлечения
В
Взаимоотношения
З
Здоровье
К
Кулинария-и-гостеприимство
Ф
Финансы-и-бизнес
П
Питомцы-и-животные
О
Образование
О
Образование-и-коммуникации
саня45рг
саня45рг
21.05.2023 21:17 •  Алгебра

1) выражение : (cos(a) - cos(3a)*(sin(a)+sin(3a))/1-cos(4a) 2)найти производную функций а) у=1/4+4х б)у=(3-х/2)^-9 в)у=(sin(x/2)-cos(x/

👇
Ответ:
konaser03
konaser03
21.05.2023

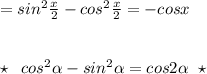
1)\; \; \frac{(cosa-cos3a)(sinx+sin3x)}{1-cos4a}=\frac{2\, sin2a\cdot sina\, \cdot \, 2\, sin2a\cdot cosa}{2sin^22a}=\frac{2\, sina\cdot cosa}{1}=sin2a\\\\\\2)\; \; y=\frac{1}{4+4x}\; \; ,\; \; y'=-\frac{1\cdot 4}{(4+4x)^2}=-\frac{1}{4\cdot (1+x)^2}\\\\y=(3-\frac{x}{2})^{-9}\; ,\; \; y'=-9\cdot (3-\frac{x}{2})^{-10}\cdot (-\frac{1}{2})=4,5\cdot (3-\frac{x}{2})^{-10}\\\\y=(sin\frac{x}{2}-cos\frac{x}{2})^2\; \; ,\; \; y'=2(sin\frac{x}{2}-cos\frac{x}{2})\cdot (\frac{1}{2}\, cos\frac{x}{2}+\frac{1}{2}\, sin\frac{x}{2})=

=sin^2\frac{x}{2}-cos^2\frac{x}{2}=-cosx\\\\\\\star \; \; cos^2\alpha -sin^2\alpha =cos2\alpha \; \; \star

4,5(80 оценок)
Открыть все ответы
Ответ:
Ax+By+C = 0,
где A, B, C - это константы, (A и B одновременно не равны нулю)
Это общее уравнение прямой на координатной плоскости XOY.
Показать (или доказать) это можно разными
Так вот: 6x+3y+18 = 0, это уравнение прямой. Чтобы построить эту прямую на координатной плоскости достаточно найти две различные точки, принадлежащие этой прямой. Найдем какие-либо две точки (два частных решения этого уравнения. Например: положим x_1=0, подставим это в уравнение, получим 3y+18 = 0, <=> y = -18/3 = -6.
Первая точка это x_1=0, и y_1=-6.
Аналогично находим вторую точку прямой:  положим y_2=0, подставим это значение в уравнение прямой, получим 6x+18=0, <=> x=-18/6 = -3.
Вторая точка у нас имеет координаты x_2=-3 и y_2 = 0.
Теперь следует отметить эти точки на координатной плоскости XOY (на графике), затем взять линейку и с ручки или карандаша провести через эти точки прямую линию. Это и будет график данной в условии прямой.
4,6(98 оценок)
Ответ:
zarruxu
zarruxu
21.05.2023
Ax+By+C = 0,
где A, B, C - это константы, (A и B одновременно не равны нулю)
Это общее уравнение прямой на координатной плоскости XOY.
Показать (или доказать) это можно разными
Так вот: 6x+3y+18 = 0, это уравнение прямой. Чтобы построить эту прямую на координатной плоскости достаточно найти две различные точки, принадлежащие этой прямой. Найдем какие-либо две точки (два частных решения этого уравнения. Например: положим x_1=0, подставим это в уравнение, получим 3y+18 = 0, <=> y = -18/3 = -6.
Первая точка это x_1=0, и y_1=-6.
Аналогично находим вторую точку прямой:  положим y_2=0, подставим это значение в уравнение прямой, получим 6x+18=0, <=> x=-18/6 = -3.
Вторая точка у нас имеет координаты x_2=-3 и y_2 = 0.
Теперь следует отметить эти точки на координатной плоскости XOY (на графике), затем взять линейку и с ручки или карандаша провести через эти точки прямую линию. Это и будет график данной в условии прямой.
4,6(100 оценок)
Это интересно:
Новые ответы от MOGZ: Алгебра
logo
Вход Регистрация
Что ты хочешь узнать?
Спроси Mozg
Открыть лучший ответ