Вход
Регистрация
Спроси Mozg AI
М
Молодежь
К
Компьютеры-и-электроника
Д
Дом-и-сад
С
Стиль-и-уход-за-собой
П
Праздники-и-традиции
Т
Транспорт
П
Путешествия
С
Семейная-жизнь
Ф
Философия-и-религия
Б
Без категории
М
Мир-работы
Х
Хобби-и-рукоделие
И
Искусство-и-развлечения
В
Взаимоотношения
З
Здоровье
К
Кулинария-и-гостеприимство
Ф
Финансы-и-бизнес
П
Питомцы-и-животные
О
Образование
О
Образование-и-коммуникации
.....больше.....
..меньше..
Maia55444
18.02.2023 15:17 •
Алгебра
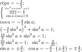
Знайти cos(a+b), якщо ctg a= -4\3 , ctg b=4\3
👇
Увидеть ответ
Ответ:
sashapustoxin
18.02.2023
тогда имеем
4,8
(82 оценок)
Открыть все ответы
Ответ:
Volovoy00T
18.02.2023
1)(x-3)(3x+2)=(5x-4)(3x-2)
x*3x+2x-3*3x-6=5x*3x-5x*2-4*3x+8
3x^2+2x-9x-6=15x^2-10x-12x+8
3x^2-15x^2-7x-6=-22x+8
-12x^2+15x+14=0
12x^2-15x-14=0
2)(2x+7)(7-2x)=49+x·(x+2)
7*2x-2x*2x+7*7-7*2x=49+x^2+2*x
14x-4x^2+49-14x=49+x^2+2x
-4x^2+49-49=x^2+2x
x^2+2x=-4x^2
x^2+4x^2+2x=0
5x^2+2x=0, где с=0
3)3x-2\2x+1=2x+3\2x-1
(2x-1)(3x-2)-(2x+1)(2x+3)=0
2x*3x-2x*2-1*3x+2-2x*2x-3*2x+2x+3=0
6x^2-4x-3x+2-4x^2-6x+2x+3=0
6x^2-4x^2-7x-6x+2x+2+3=0
2x^2-11x+5=0
4)x-1\x+3+5x-4\4x+1=1
(4x+1)(x-1)+(x+3)(5x-4)=(x+3)(4x+1)
4x*x-4x+x-1+5x*x-4x+3*5x-3*4=x*4x+x+3*4x+3
4x^2-3x-1+5x^2-4x+15x-12=4x^2+x+12x+3
x^2: 4x^2+5x^2-4x^2
x:-3x-4x+15x-12x-x
x^0:-1-12-3
5x^2-5x-16=0
4,4
(92 оценок)
Ответ:
linwei
18.02.2023
График функций y=ax² и y=1 -2x пересекаются в точке A( 2 ; -3). Найдите координаты второй точки пересечения этих графиков.
-------------------------
Проверим , что A (2 ; -3) ∈ графику линейной функции y=1 - 2x .
Если x =2 ⇒ у =1 -2*2= -3 .
-------
Точка ( 2 ; -3) ∈ графику функции y=ax² , значит :
y=ax² ;
-3 =a*2² ;
a = -3/4 . * * * y=( -3/4) *x² * * *
--------------
Для определения точки пересечения этих графиков нужно совместно решать y=-3/4x² и y=1 - 2x .
(-3/4)*x² =1 -2x ;
3x² - 8x +4 =0 * * * x² - (8/3)x +4/3=0 * * *
D/4 =(-8/2)² - 3*4 =16 -12 =4 =2²
x₁ =(4 +2)/3 =2 ;
x₂ = (4+2)/3 =2/3.
y₂ = (-3/4)*(2/3)² = (-3/4)*(4/9 = -1/3 (или y₂ =1 -2*2.3 = 1 -4/3 = -1/3)
* * *т.к. один корень известно(x₁=2) ,то второй корень можно было определить из уравнения x₁*x₂ = 4/3 или из x₁+x₂= 8/3
2*x₂ =4/3 ⇒ x₂ =2/3 . * * *
ответ: В (2/3 ; -1/3)
4,4
(45 оценок)
Это интересно:
К
Компьютеры-и-электроника
25.10.2022
Как словить покемона Кресселию...
02.01.2020
Как стать серьезным: 10 советов от успешных людей...
С
Семейная-жизнь
21.02.2020
Как справиться с ребенком, который постоянно говорит нет...
К
Компьютеры-и-электроника
26.11.2021
Как легко и быстро распечатывать с Samsung Galaxy Note 3...
О
Образование-и-коммуникации
08.06.2023
Как найти площадь поверхности цилиндра: простой и понятный подход...
К
Компьютеры-и-электроника
25.08.2020
Как удалить иконки с рабочего стола (Windows)...
К
Компьютеры-и-электроника
27.05.2020
Как увеличить масштаб страницы браузера...
Ф
Философия-и-религия
03.06.2020
Практики тибетского буддизма: как начать и что ожидать...
С
Стиль-и-уход-за-собой
28.01.2022
Как окрасить волосы в технике Dip-Dye при помощи Kool Aid?...
С
Стиль-и-уход-за-собой
02.12.2022
Как создать свой неповторимый образ в стиле 80х...
Новые ответы от MOGZ: Алгебра
smelinkova
30.04.2022
Решите уравнения: 1) 2(y+3)=21-3y 2) 7(x-5)+1=2-3(2x-1) 3) 7(4-,5-x)=4-3(x-8)...
я2двойшник
30.04.2022
Выражения и решите. 1) 12а-2(а-7) 2) 5(4х-у)-3(у+2х) 3) 9(2х-3у)-8(у-х) решения и спаисбо!...
irinapak1985
30.04.2022
Выражение: a)3x+7y-6x-4y= б)8a+a(5-+11a)= в)-7x(5степени)y(в 3 степени) * 1,5xy=...
Впрвиво199119
30.04.2022
Расположить в порядке возрастания: а) дробь в минус первой степени б) дробь в минус первой степени в) дробь во второй степени...
daryatitova1
30.04.2022
Рабочая тетрадь. вынесите за скобки общий множатель. а) x(y+z)+a(z+y)= б) y(a--1)= в) (b-a) (в квадрате) - (b-a)(a+b)= г) a(a-y)+(a+y)(a-y)=...
icrupnov
30.04.2022
Решить: xy-x^2-2y+2x при : x=2целых 2/3 y=3 целых 2/3...
ShurenkoPasha12
14.12.2021
Найдите значение выражения 20+0.16*(-10)...
sviridovakatya8
14.12.2021
0,2с²d*5,4c³d³=? -b³*0,5b²=? зарание...
1298school
14.12.2021
Решить три примера по 7 класс. представьте выражение в виде квадрата двучлена,если это возможно p²-2p+4= 49x²+12xy+64y²= 81y²-16z²-72yz= всем заранее ~...
Zena1112
14.12.2021
Найдите cos a или sin a если: sin a =0,12 sin a =20/29 cos a= 3/7 sin a =0,8...
MOGZ ответил
Письменник Р.Л. Стівенсон писав твори про: А) життя тварин Б) пригоди В)...
ВЫПИСАТЬ ЦИТАТЫ со встреча Гринева и Пугачева!...
знаменатель обыкновенной дроби на 6 больше ее числителя. Если числитель...
Общеупотребительные слова. Лексика ограниченного употребления. К общеупотребительным...
От прямоугольника, длина которого 7 см, а ширина — 2 см, отрезали квадрат...
Дайте ответ на этот вопрос по рассказу :Типа смотри короче Какое имя дал...
Геометрия эт короч из сайта...
ответьте на вопросы по произведению Рапунцель 1) How did the King and the...
Содержание урока Задание №5 Определите функцию выделенного глагола в предложении...
Эфемизм және дисфемизм сөздерді екі бағанға бөліп жаз. Сөздерді ауыстырып...
Полный доступ к MOGZ
Живи умнее Безлимитный доступ к MOGZ
Оформи подписку
О НАС
О нас
Блог
Условия пользования
Авторское право
Политика конфиденциальности
Предпочтения cookie-файлов
ПОМОЩЬ
Зарегистрируйся
Центр помощи
Центр безопасности
App
Вход
Регистрация
Что ты хочешь узнать?
Спроси Mozg
Открыть лучший ответ