М
Молодежь
К
Компьютеры-и-электроника
Д
Дом-и-сад
С
Стиль-и-уход-за-собой
П
Праздники-и-традиции
Т
Транспорт
П
Путешествия
С
Семейная-жизнь
Ф
Философия-и-религия
Б
Без категории
М
Мир-работы
Х
Хобби-и-рукоделие
И
Искусство-и-развлечения
В
Взаимоотношения
З
Здоровье
К
Кулинария-и-гостеприимство
Ф
Финансы-и-бизнес
П
Питомцы-и-животные
О
Образование
О
Образование-и-коммуникации
cazydays
cazydays
28.04.2021 22:31 •  Алгебра

Розвяжите уравнение: (2х-3)^2-3(х-2)(х+2)=(х-2)(х+1)

👇
Ответ:
aleksandr7899
aleksandr7899
28.04.2021
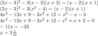
(2x-3)^2-3(x-2)(x+2)=(x-2)(x+1) \\ (2x-3)^2-3(x^2-4)=(x-2)(x+1) \\ 4x^2-12x+9-3x^2+12=x^2-x-2 \\ 4x^2-12x+9-3x^2+12-x^2+x+2=0 \\ -11x=-23 \\ x=2 \frac{1}{11}
4,5(66 оценок)
Открыть все ответы
Ответ:
aldynsaioorzhak1
aldynsaioorzhak1
28.04.2021
«Просчитав» несколько первых переливаний, нетрудно обнаружить, что после первого, третьего, пятого переливаний в обоих сосудах будет по ½ л воды. Необходимо доказать, что так будет после любого переливания с нечетным номером. Если после переливания с нечетным номером 2k-1 в сосудах было по ½ л, то при следующем переливании из второго сосуда берется 1/(2k + 1) часть, так что в первом сосуде оказывается — 1/2 + (2/2(2k + 1)) = (k + 1)/(2k + 1) (л). При следующем переливании, имеющем номер 2k + 1, из него берется 1/(2k + 2) часть и остается (k + 1)/(2k + 1)-(k + 1)/((2k + 1)(2k + 1)) = 1/2 (л). Поэтому после седьмого, девятого и вообще любого нечетного переливания в сосудах будет  по ½   л воды.
4,8(95 оценок)
Ответ:
apakovaleria
apakovaleria
28.04.2021
«Просчитав» несколько первых переливаний, нетрудно обнаружить, что после первого, третьего, пятого переливаний в обоих сосудах будет по ½ л воды. Необходимо доказать, что так будет после любого переливания с нечетным номером. Если после переливания с нечетным номером 2k-1 в сосудах было по ½ л, то при следующем переливании из второго сосуда берется 1/(2k + 1) часть, так что в первом сосуде оказывается — 1/2 + (2/2(2k + 1)) = (k + 1)/(2k + 1) (л). При следующем переливании, имеющем номер 2k + 1, из него берется 1/(2k + 2) часть и остается (k + 1)/(2k + 1)-(k + 1)/((2k + 1)(2k + 1)) = 1/2 (л). Поэтому после седьмого, девятого и вообще любого нечетного переливания в сосудах будет  по ½   л воды.
4,6(44 оценок)
Новые ответы от MOGZ: Алгебра
logo
Вход Регистрация
Что ты хочешь узнать?
Спроси Mozg
Открыть лучший ответ