М
Молодежь
К
Компьютеры-и-электроника
Д
Дом-и-сад
С
Стиль-и-уход-за-собой
П
Праздники-и-традиции
Т
Транспорт
П
Путешествия
С
Семейная-жизнь
Ф
Философия-и-религия
Б
Без категории
М
Мир-работы
Х
Хобби-и-рукоделие
И
Искусство-и-развлечения
В
Взаимоотношения
З
Здоровье
К
Кулинария-и-гостеприимство
Ф
Финансы-и-бизнес
П
Питомцы-и-животные
О
Образование
О
Образование-и-коммуникации
parol123456
parol123456
28.10.2020 22:03 •  Алгебра

Найдите cos a b tg a если известно, что sin a=-3/5 и п

👇
Ответ:
Niks666
Niks666
28.10.2020
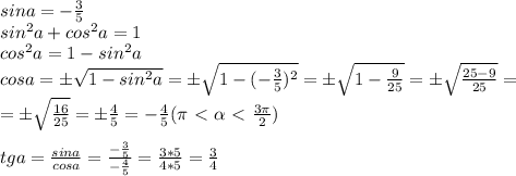
sina=-\frac{3}5\\sin^2a+cos^2a=1\\cos^2a=1-sin^2a\\cosa=б\sqrt{1-sin^2a}=б\sqrt{1-(-\frac{3}5)^2}=б\sqrt{1-\frac{9}{25}}=б\sqrt{\frac{25-9}{25}}=\\=б\sqrt{\frac{16}{25}}=б\frac{4}5=-\frac{4}5(\pi\ \textless \ \alpha \ \textless \ \frac{3\pi}2)\\\\tga=\frac{sina}{cosa}=\frac{-\frac{3}5}{-\frac{4}5}=\frac{3*5}{4*5}=\frac{3}4
4,6(62 оценок)
Открыть все ответы
Ответ:
dhdhfjd55
dhdhfjd55
28.10.2020

Популярная турецкая актриса Бахар Шахин (Bahar Şahin) родилась 27 мая 1997 года в Анкаре.

Рассказ Бахар Шахин о себе:

- Родилась я 26 мая 1997 года в Анкаре. После развода родителей, когда мне было 14 лет переехала в Стамбул с матерью. Я очень привязана к своей семье и друзьям. А в любви очень стеснительна. Часто проживаю любовь платонически. Очень упряма и нетерпелива. Всегда мечтала стать актрисой, читала книги и перед зеркалом исполняла роль героинь. Немного повзрослев вступила в столичную молодежную театральную труппу (Ankara Altındağ Gençlik Merkez). Затем переехала в Стамбул. Но желание стать актрисой не пропало. Мне нужно было набраться терпения, чтобы осуществить свои мечты, и несмотря на препятствия, со временем я добилась своей цели. Однажды мне подвернулась удача – мы с семьей ужинали в ресторане, где также находилась продюсер Арзу Эгмир. Она познакомила меня с режиссером сериала "Это моя жизнь" Мерве Гиргин. Это знакомство изменило всю мою жизнь, так как режиссер взяла меня в свой сериал. Я очень благодарна Мерве Гиргин и Арзу Эгмир за предоставленный шанс и осуществление моей мечты.

Так в 2014 году и началась актерская карьера Бахар Шахин, в сериале "Это моя жизнь" 4 сезона исполняла роль Мюге.

Затем были роли в сериалах "Школьный патруль", провальный сериал "Богатство", который закрыли на 4 серии из-за низких рейтингов.

Настоящий успех принесла роль Джерен в сериале "Жестокий Стамбул", зрители даже возненавидели ее за жестокость героини. На улице оскорбляли и укоряли за поступки героини, на что Бахар в резкой форме ответила всем, что она лишь играет роль, пусть не путают!

4,4(69 оценок)
Ответ:
portal1234
portal1234
28.10.2020
1) а) 14х<7|:(-14)
х>-0,5
ответ: (-0,5;+беск.)

б) 3х=>-15|:3
х=>-5
ответ: [-5;+беск.)

2) а) 4х+-3<=-9
4х<=-9+-3
4х<=-6|:4, или 4х<=-12|:4
х<=-1,5, или х<=-3
ответ: (-беск.; -3]

б) 7х-2>11х
7х-11х>2
-4х>2|:(-4)
х<-0,5
ответ: (-беск.; -0,5)

3) а) 8х-7<3х+13
8х-3х<13+7
5х<20|:5
х<4
ответ: (-беск.; 4)

б) 4х+3=>8х+5
4х-8х=>5-3
-4х=>2|:(-4)
х<=-0,5
ответ: (-беск.; -0,5]

4) а) 2(3х-8)-12>4-6(7-2х)
6х-16-12>4-42+12х
-6х>-10|:(-6)
х<5/3

ответ: (-беск.; 5/3)
4,5(94 оценок)
Это интересно:
Новые ответы от MOGZ: Алгебра
logo
Вход Регистрация
Что ты хочешь узнать?
Спроси Mozg
Открыть лучший ответ