М
Молодежь
К
Компьютеры-и-электроника
Д
Дом-и-сад
С
Стиль-и-уход-за-собой
П
Праздники-и-традиции
Т
Транспорт
П
Путешествия
С
Семейная-жизнь
Ф
Философия-и-религия
Б
Без категории
М
Мир-работы
Х
Хобби-и-рукоделие
И
Искусство-и-развлечения
В
Взаимоотношения
З
Здоровье
К
Кулинария-и-гостеприимство
Ф
Финансы-и-бизнес
П
Питомцы-и-животные
О
Образование
О
Образование-и-коммуникации
egorbokof
egorbokof
22.02.2020 20:23 •  Алгебра

Найти площадь ограниченной фигуры y=16/x^2, x=4, y=2x или хотя бы напишите начальную функцию 16/x^2

👇
Ответ:
вика36100
вика36100
22.02.2020

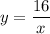
Функции y=\dfrac{16}{x^2 } отличается от y=\dfrac{16}{x} при x>0 тем, что она быстрее убывает. Функция y=\dfrac{16}{x^2 } - чётная т.к. степень при единственном "x" чётная.

y=2x - функция прямой пропорциональности (y=kx), её график будет в 3 и 1 четверти (k>0), поэтому пересечении с y=\dfrac{16}{x^2 } может быть только в 1 четверти. Такое же и с прямой x=4.

Найдём абсциссу точки пересечения функций y=\dfrac{16}{x^2 } и y=2x.

\displaystyle \frac{16}{x^2 } =2x;2x^3 =16;x^3 =2^3 \\\\x=2; \frac{16}4 =4=2\cdot 2

Абсцисса точки пересечения графиков функций y=\dfrac{16}{x^2 }, x=4 и y=2x, x=4 уже известна (x=4).

Схематичный график смотри внизу.

Получается, что

\tt \displaystyle S=\int _2 ^4 2x\;dx -\int _2 ^4 \frac{16}{x^2 } \;dx =\int _2 ^4 \begin{pmatrix}\tt 2x-\frac{16}{x^2} \end{pmatrix}\;dx=\\\\=\begin{pmatrix}\tt x^2+\frac{16}x \end{pmatrix} \begin{vmatrix}\\\end{matrix} ^4 _2 =\begin{pmatrix}\tt 4^2+\frac{16}4 \end{pmatrix} -\begin{pmatrix}\tt 2^2+\frac{16}2 \end{pmatrix} =\\\\=20-12=8

ответ: 8.


Найти площадь ограниченной фигуры y=16/x^2, x=4, y=2x или хотя бы напишите начальную функцию 16/x^2
4,7(6 оценок)
Открыть все ответы
Ответ:
9Mesut8
9Mesut8
22.02.2020
1. В сентябре 30 дней. Дни которые кратны 5: 5;10;15;20;25;30 - всего 6
Всего благоприятных событий: 6. Всего все возможных событий: 30.
Искомая вероятность : P= \dfrac{6}{30}=0.2

2. Вероятность того, что на монете выпала решка равна 1/2, а вероятность того, что на игральной кости выпало нечетное число очков равно 3/6=1/2. Поскольку событий независимы, то вероятность того, что выпали на монете решка, а на кости нечетное число очков равна 1/2 * 1/2 = 1/4.

3. Найдем вероятность того, что карта король черной масти:
Всего все возможных событий: C^1_{36}=36. Всего благоприятных событий: C^2_{4}
Тогда вероятность \bigg^{P'= \dfrac{C^1_{2}}{C^1_{36}} = \dfrac{ 2 }{36 } = \dfrac{1}{18}}

4. Всего все возможных событий: 36
сумма выпавших число очков не больше 3: {1;2}, {2;1}, {1;1}- всего 3 (благоприятных событий)
Вероятность того, что сумма выпавших число очков не больше 3 равна \dfrac{3}{36} = \dfrac{1}{12}

Тогда вероятность того, что сумма выпавших число очков не меньше 3 равна 1-\frac{1}{12} =\frac{11}{12}

5. Всего все возможных событий: C^2_{7}. Взять 2 красных шаров можно C^2_4

Искомая вероятность: P= \dfrac{C^2_4}{C^2_{7}}= \dfrac{ \frac{4!}{2!2!} }{ \frac{7!}{5!2!} }= \dfrac{3\cdot 4}{6\cdot 7} = \dfrac{2}{7}
4,8(9 оценок)
Ответ:
Вsеzнaйkа
Вsеzнaйkа
22.02.2020
1. В сентябре 30 дней. Дни которые кратны 5: 5;10;15;20;25;30 - всего 6
Всего благоприятных событий: 6. Всего все возможных событий: 30.
Искомая вероятность : P= \dfrac{6}{30}=0.2

2. Вероятность того, что на монете выпала решка равна 1/2, а вероятность того, что на игральной кости выпало нечетное число очков равно 3/6=1/2. Поскольку событий независимы, то вероятность того, что выпали на монете решка, а на кости нечетное число очков равна 1/2 * 1/2 = 1/4.

3. Найдем вероятность того, что карта король черной масти:
Всего все возможных событий: C^1_{36}=36. Всего благоприятных событий: C^2_{4}
Тогда вероятность P'= \dfrac{C^1_{2}}{C^1_{36}} = \dfrac{ 2 }{36 } = \dfrac{1}{18}

Тогда вероятность того, что карта не король черной масти: 1-\dfrac{1}{18}=\dfrac{17}{18}

4. Всего все возможных событий: 36
сумма выпавших число очков не больше 3: {1;2}, {2;1}, {1;1}- всего 3 (благоприятных событий)
Вероятность того, что сумма выпавших число очков не больше 3 равна \dfrac{3}{36} = \dfrac{1}{12}

Тогда вероятность того, что сумма выпавших число очков не меньше 3 равна 1-\frac{1}{12} =\frac{11}{12}

5. Всего все возможных событий: C^2_{7}. Взять 2 красных шаров можно C^2_4

Искомая вероятность: P= \dfrac{C^2_4}{C^2_{7}}= \dfrac{ \frac{4!}{2!2!} }{ \frac{7!}{5!2!} }= \dfrac{3\cdot 4}{6\cdot 7} = \dfrac{2}{7}
4,5(39 оценок)
Это интересно:
logo
Вход Регистрация
Что ты хочешь узнать?
Спроси Mozg
Открыть лучший ответ