М
Молодежь
К
Компьютеры-и-электроника
Д
Дом-и-сад
С
Стиль-и-уход-за-собой
П
Праздники-и-традиции
Т
Транспорт
П
Путешествия
С
Семейная-жизнь
Ф
Философия-и-религия
Б
Без категории
М
Мир-работы
Х
Хобби-и-рукоделие
И
Искусство-и-развлечения
В
Взаимоотношения
З
Здоровье
К
Кулинария-и-гостеприимство
Ф
Финансы-и-бизнес
П
Питомцы-и-животные
О
Образование
О
Образование-и-коммуникации
alek09
alek09
26.06.2020 18:15 •  Алгебра

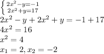
Решите методом сложения систему уравнений {2х^2-у=-1 {2х^2+у=17

👇
Ответ:
kookie04
kookie04
26.06.2020
\left \{ {{2x^2-y=-1} \atop {2x^2+y=17}} \right. \\ 2x^2-y+2x^2+y=-1+17 \\ 4x^2=16 \\ x^2=4 \\ x_1=2,x_2=-2
найдем y, подставляя в любое из уравнений:
\left \{ {{x_1=2} \atop {y_1=17-2*2^2=17-8=9}} \right. \\ \left \{ {{x_1=-2} \atop {y_2=17-2*(-2)^2=17-8=9}} \right.
две пары решений  (2;9),(-2;9)
4,5(38 оценок)
Открыть все ответы
Ответ:
anchobaby
anchobaby
26.06.2020
1) 1/18 забора красят Игорь и Паша за 1 час
2) 1/20 забора красят Паша и Володя за 1 час
3) 1/30 забора красят Володя и Игорь за 1 час
4) 1/18+1/20+1/30=10/180+9/180+6/180=25/180=5/36 - удвоенная часть забора которую красят за 1 час Игорь, Паша и Володя, работая втроем (посчитали каждого по разу - потому удвоенное)
5) 5/36:2=5/36*1/2=5/72 забора красят мальчики за 1 час, работая втроем
6) 1:5/72=72/5 ч -  за столько времени мальчики покрасят забор, работая втроем
7) 72/5 ч=72*60:5=864 мин - за столько минут мальчики покрасят забор, работая втроем
ответ: за 864 мин

Игорь и паша красят забор за 18 часов. паша и володя красят этот же забор за 20 часов, а володя и иг
4,8(18 оценок)
Ответ:
shi55
shi55
26.06.2020

х - у = 8

х + у = - 3

 Выразим у из каждого уравнения:

у = х - 8

у = - х - 3

Построим графики двух этих функций. Это линейные функции, графиком являются прямые. Для построения каждой прямой надо знать две точки.

у = х – 8

х1 = 0          х2 = 1

у1 = -8         у2 = -7

(0; -8)          (1; -7)

 

у = - х - 3

х1 = 0           х2 = 1

у1 = - 3         у2 = -4

(0; -3)           (1; -4)

 По данным точкам строим две прямые. Находим точку пересечения. Координаты точки пересечения будут ответом в данной системе.

х = 2,5

у =  -5,5

Чертёж прилагается.

ответ: (2,5; -5,5)
Решите систему уравнений графическим х-у=8. х+у=-3. 15 .
4,7(87 оценок)
Это интересно:
logo
Вход Регистрация
Что ты хочешь узнать?
Спроси Mozg
Открыть лучший ответ