В бочку долили 30 л красных чернил
Объяснение:
1) 30%+20%=50% - объёма занимали красные и желтые чернила
2) 100%-50%=50% - объёма занимала вода
3) 30:50*100=15 (л) - объём воды в бочке
4) 48%:1,5=32% - объёма стали занимать желтые чернила
5) 48%+32%=80% - объёма стали занимать красные и желтые чернила
6) 100%-80%=20% - бочки стала занимать вода
7) 15:20*100=75 (л) - стал объём бочки
8) 75*48:100=36 (л) - объёма стали занимать красные чернила
9) 30*20:100=6 (л) - объёма занимали красные чернила
10) 36-6=30 (л) - красных чернил долили в бочку
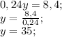
Тут все просто:
Сказано, что 60% от 40% некоторого числа равны 8,4.
Можно составить простое уравнеие:
Решая данное уравнение, получаем:

y=35.
Проверяем:
Для начала, найдем 40% от 35:
35*0,4=14.
Теперь от 14 найдем 60%:
0,6*14=8,4.
ответ: y=35.