М
Молодежь
К
Компьютеры-и-электроника
Д
Дом-и-сад
С
Стиль-и-уход-за-собой
П
Праздники-и-традиции
Т
Транспорт
П
Путешествия
С
Семейная-жизнь
Ф
Философия-и-религия
Б
Без категории
М
Мир-работы
Х
Хобби-и-рукоделие
И
Искусство-и-развлечения
В
Взаимоотношения
З
Здоровье
К
Кулинария-и-гостеприимство
Ф
Финансы-и-бизнес
П
Питомцы-и-животные
О
Образование
О
Образование-и-коммуникации
ALEXAND2033
ALEXAND2033
28.04.2022 12:31 •  Алгебра

Решите систему уравнения выражения 2x-9y=-63 -9x-2y=-63

👇
Ответ:
Mikhail55Rus
Mikhail55Rus
28.04.2022
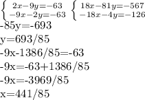
\left \{ {{2x-9y=-63} \atop {-9x-2y=-63}} \right. 
 \left \{ {{18x-81y=-567} \atop {-18x-4y=-126}} \right. 

-85y=-693

y=693/85

-9x-1386/85=-63

-9x=-63+1386/85

-9x=-3969/85

x=441/85

4,7(69 оценок)
Открыть все ответы
Ответ:
saparchikrusoy10t7
saparchikrusoy10t7
28.04.2022

Рассмотрим прямоугольник  mknz.

mo = on, ko = oz т.к. диагонали прямоугольника в точке пересечения делятся пополам

ma = ao, oc = cn по условию.

ao = mo : 2, oc = on : 2 по условию.

mo = on из этого следует, что ao = oc

kb = bo, od = dz по условию.

bo = ko : 2, oc = oz : 2 по условию.

ko = oz из этого следует, что bo = od

рассмотрим четырёхугольник abcd

диагональ bd в точке о делит диагональ ac на 2 равных отрезка

диагональ ac в точке о делит диагональ bd на 2 равных отрезка

ответ: четырёхугольник abcd является прямоугольником т.к. его диагонали делятся пополам в очке пересечения.

4,4(52 оценок)
Ответ:
karinasing
karinasing
28.04.2022

Рассмотрим прямоугольник  mknz.

mo = on, ko = oz т.к. диагонали прямоугольника в точке пересечения делятся пополам

ma = ao, oc = cn по условию.

ao = mo : 2, oc = on : 2 по условию.

mo = on из этого следует, что ao = oc

kb = bo, od = dz по условию.

bo = ko : 2, oc = oz : 2 по условию.

ko = oz из этого следует, что bo = od

рассмотрим четырёхугольник abcd

диагональ bd в точке о делит диагональ ac на 2 равных отрезка

диагональ ac в точке о делит диагональ bd на 2 равных отрезка

ответ: четырёхугольник abcd является прямоугольником т.к. его диагонали делятся пополам в очке пересечения.

4,4(71 оценок)
Это интересно:
Новые ответы от MOGZ: Алгебра
logo
Вход Регистрация
Что ты хочешь узнать?
Спроси Mozg
Открыть лучший ответ