 
                                                 
                                                -1; 2.
Объяснение:

 
                                                 
                                                Объяснение:
1) разложим числитель и знаменатель на множители. Из числителя вынесем 8 как общий множитель, в знаменателе воспользуемся формулой сокращённого умножения a^2-b^2 = (a-b)(a+b). Тогда будет 8*(x+4)/((x-4)(x+4)) => 8/(x-4) учитывая что x≠-4
2) 1) 7a/(b-3) и b/((b-3)(b+3)) => 7a*(b+3)/((b-3)(b+3)) и b/((b-3)(b+3))
Под 2) 1/(х-3)^2 и 1/((х-3)(х+3)) => (х+3)/((х-3)^2)*(х+3)) и (х-3)/((х-3)^2)*(х+3))
Номер 3)
1) t^2/(3*(t-2)) + 4/(3*(2-t)) => t^2/(3*(t-2)) — 4/(3*(t-2)) => (t^2-4)/(3*(t-2)) => (t+2)/3 с учётом t≠-2
2) a^2/((a-8)(a+8)) - a/(a+8) => (a^2-a*(a-8))/((a-8)(a+8)) => 8a/((a-8)(a+8))
 
                                                 
                                                 
                                                 
                                                 
                                                
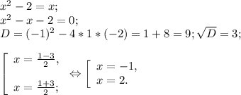
х²-2=х
х²-х-2=0
(х²+х)-(2х+2)=0
х(х+1)-2(х+1)=0
(х-2)(х+1)=0
х-2=0 => x=2
или
x+1=0 => x=-1
х₁=2
х₂=-1