М
Молодежь
К
Компьютеры-и-электроника
Д
Дом-и-сад
С
Стиль-и-уход-за-собой
П
Праздники-и-традиции
Т
Транспорт
П
Путешествия
С
Семейная-жизнь
Ф
Философия-и-религия
Б
Без категории
М
Мир-работы
Х
Хобби-и-рукоделие
И
Искусство-и-развлечения
В
Взаимоотношения
З
Здоровье
К
Кулинария-и-гостеприимство
Ф
Финансы-и-бизнес
П
Питомцы-и-животные
О
Образование
О
Образование-и-коммуникации
utrobin7
utrobin7
14.08.2020 16:07 •  Алгебра

Вычислите координаты точек пересечения функций х+у=6 х+4у=18 35 б!

👇
Ответ:
watchdogs3
watchdogs3
14.08.2020
x+y=6 ⇒ y=6-x

x+4y=18 ⇒ y=\frac{18-x}{4}

\frac{18-x}{4} =6-x

{18-x} =24-4x

3x=6

x=2

y=6-2=4

ответ: (2;4)



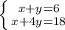
\left \{ {{x+y=6} \atop {x+4y=18}} \right.

\left \{ {{-x-y=-6} \atop {x+4y=18}} \right.

\left \{ {{x+y=6} \atop {3y=12}} \right.

\left \{ {{x=6-y} \atop {y=4}} \right.

\left \{ {{x=2} \atop {y=4}} \right.

ответ: (2;4)
4,6(59 оценок)
Открыть все ответы
Ответ:
Finikotik
Finikotik
14.08.2020

Примем массу серебра в начальном сплаве за х, меди - за у.

На основе задания составим 2 уравнения:

(х + 3)/(х + 3 + у) = 0,9,                х + 3 = 0,9х + 2,7 + 0,9у.

(х + 2*0,9)/(х + 2 + у) = 0,84,       х + 1,8 = 0,84х + 1,68 + 0,84у.

Упрощая, получаем:

0,1х = 0,9у - 0,3                  х = 9у - 3            -4х = -36у + 12        

0,16х = 0,84у - 0,12           4х = 21у - 3.         4х = 21у - 3.      

                                                                              15у = 9  

Получаем ответ:

х = 2,4 кг, у = 0,6 кг.

Процент равен 2,4/(2,4 + 0,6)*100 = 80 %.              

4,6(35 оценок)
Ответ:
SashaRary
SashaRary
14.08.2020

Примем массу серебра в начальном сплаве за х, меди - за у.

На основе задания составим 2 уравнения:

(х + 3)/(х + 3 + у) = 0,9,                х + 3 = 0,9х + 2,7 + 0,9у.

(х + 2*0,9)/(х + 2 + у) = 0,84,       х + 1,8 = 0,84х + 1,68 + 0,84у.

Упрощая, получаем:

0,1х = 0,9у - 0,3                  х = 9у - 3            -4х = -36у + 12        

0,16х = 0,84у - 0,12           4х = 21у - 3.         4х = 21у - 3.      

                                                                              15у = 9  

Получаем ответ:

х = 2,4 кг, у = 0,6 кг.

Процент равен 2,4/(2,4 + 0,6)*100 = 80 %.              

4,8(91 оценок)
Это интересно:
Новые ответы от MOGZ: Алгебра
logo
Вход Регистрация
Что ты хочешь узнать?
Спроси Mozg
Открыть лучший ответ