 
                                                 
                                                1. Типичная задачка на арифметическую прогрессию, здесь первый член a₁ = 15; разность прогрессии d = 2;
Найдем какой путь тело за 26 секунд.
 м.
 м.
ответ: 1040 м.
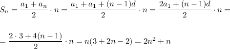
2. 3 + 7 + 11 + ... + х = 253
Левая часть уравнения представляет собой последовательность арифметической прогрессии с первым членом a₁=3 и разностью прогрессии d = a₂ - a₁ = 7 - 3 = 4.
Сумма первых n членов арифметической прогрессии:

Осталось решить уравнение

 - не удовлетворяет условию
 - не удовлетворяет условию
Итак, a₁₁ = x, тогда x = a₁ + 10d = 3 + 10 * 4 = 43
ответ: 43.
 
                                                ответ: Если две стороны и угол между ними одного треугольника равны соответственно двум сторонам и углу между ними второго треугольника, то такие треугольники равны.
Дано: ΔАВС и ΔА₁В₁С₁.
АВ = А₁В₁, АС = А₁С₁, ∠А = ∠А₁.
Доказать: ΔАВС = ΔА₁В₁С₁.
Доказательство:
Наложим треугольники друг на друга так, чтобы угол А совпал с углом А₁.
Тогда совпадут и лучи АВ с А₁В₁ и АС с А₁С₁.
Так как АВ = А₁В₁, точки В и В₁ совпадут.
Так как АС = А₁С₁, точки С и С₁ тоже совпадут.
Через две точки можно провести единственную прямую, поэтому совпадут и отрезки ВС и В₁С₁.
Так как треугольники совпали при наложении - они равны.
При доказательстве признака использована аксиома: через любые две точки можно провести единственную прямую
Объяснение:
 
                                                 
                                                 
                                                 
                                                 
                                                 
                                                 
                                                 
                                                
1) фото
2) - х ² - 3х + 4 < 0 ║ : (-1)
х² + 3х - 4 < 0
дальше списываешь все тоже самое, что и в первом примере (см. фото)
3) х² + 7х + 10 < 0
D = 7² - 4 * 1 * 10 = 49 - 40 = 9
√D = √9 = 3
x1 = - 7 + 3 / 2 * 1 = -4/2 = - 2
х2 = - 7 - 3 / 2 * 1 = - 10/ 2 = - 5
ответ : х1 = - 2 ; х2 = - 5