М
Молодежь
К
Компьютеры-и-электроника
Д
Дом-и-сад
С
Стиль-и-уход-за-собой
П
Праздники-и-традиции
Т
Транспорт
П
Путешествия
С
Семейная-жизнь
Ф
Философия-и-религия
Б
Без категории
М
Мир-работы
Х
Хобби-и-рукоделие
И
Искусство-и-развлечения
В
Взаимоотношения
З
Здоровье
К
Кулинария-и-гостеприимство
Ф
Финансы-и-бизнес
П
Питомцы-и-животные
О
Образование
О
Образование-и-коммуникации
dayanka13
dayanka13
04.07.2022 19:34 •  Алгебра

Решите уравнения ㏒3x+1(3x²-x+4)=2 3x+1 - основание логарифма ㏒3x-7(x-5)-㏒x-5(3x²-22x+35)=-1 3x-7 и x-5 - основания

👇
Ответ:
panicheviwan
panicheviwan
04.07.2022
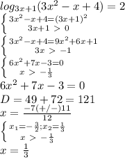
log_{3x+1}(3x^2-x+4)=2 \\ \left \{ {{3x^2-x+4=(3x+1)^2} \atop {3x+1\ \textgreater \ 0}} \right.\\ \left \{ {{3x^2-x+4=9x^2+6x+1} \atop {3x\ \textgreater \ -1}} \right.\\ \left \{ {{6x^2+7x-3=0} \atop {x\ \textgreater \ - \frac{1}{3} }} \right. \\ 6x^2+7x-3=0 \\ D=49+72=121 \\ x= \frac{-7(+/-)11}{12} \\ \left \{ {{x_1=- \frac{3}{2};x_2= \frac{1}{3} } \atop {x\ \textgreater \ - \frac{1}{3}}} \right. \\ x= \frac{1}{3}

Решение второго уравнения см. в приложенном файле.

Решите уравнения ㏒3x+1(3x²-x+4)=2 ////3x+1 - основание логарифма ㏒3x-7(x-5)-㏒x-5(3x²-22x+35)=-1 ////
4,8(97 оценок)
Открыть все ответы
Ответ:
marisha0606
marisha0606
04.07.2022
Рензи профессор Отметить как нарушение Игральные кости - это кубики с 6 гранями. На первом кубике может выпасть 1, 2, 3, 4, 5 или 6 очков. Каждому варианту выпадения очков соответствует 6 вариантов выпадения очков на втором кубике.
Т.е. всего различных вариантов 6*6 = 36.
Варианты (исходы эксперимента) будут такие:
1;1 1;2 1;3 1;4 1;5 1;6
2;1 2;2 2;3 2;4 2;5 2;6
и т.д.
6;1 6;2 6;3 6;4 6;5 6;6
Подсчитаем количество исходов (вариантов), в которых сумма очков двух кубиков равна 8.
2;6 3;5; 4;4 5;3 6;2 Всего 5 вариантов.
Найдем вероятность. 5/36 = 0,138 ≈ 0,14

 

 

2) Возможен такой вариант решения. 
Какие возможны исходы двух бросаний монеты?
1) Решка, решка.
2) Решка, орел.
3) Орел, решка.
4) Орел, орел.
Это все возможные события, других нет. Нас интересует вероятность 2-го или 3-го события. 
Всего возможных исходов 4.
Благоприятных иcходов – 2.
Отношение 2/4 = 0,5.

 

 

1) благоприятных вариантов 4  (1,2,3,4), а всего вариантов 6 ( 1, 2,3,4,5,6).
вероятность равна 4:6 = 2/3

4,7(94 оценок)
Ответ:
kristinaFro
kristinaFro
04.07.2022

Объяснение:

а) 9x-3y=6;

Выражаем у через х и получаем линейную функцию:

3у=9х-6;

у=(9х-6)/3=3х-2;

у=3х-2.

Графиком линейной функции является прямая, прямую можно построить по двум точкам, например:

х   у

0  -2

2   4

См. рисунок а).

б) y=-4x+2;

График линейной функции - прямая, строим ее по двум точкам, например:

х   у

0   2

1  -2

См. рисунок б).

в) y=⅓x;

График прямой пропорциональности - это прямая, которая проходит через начало координат точку О(0;0).

Строим по двум точкам, например:

х   у

0   0

3   1

См. рисунок в).

г) y=-x;

График прямой пропорциональности - прямая, которая проходит через начало координат точку О(0;0).

Строим по двум точкам, например:

х   у

0   0

2  -2

См. рисунок г).

д) y=-5;

Графиком является прямая, которая проходит через точку (0;-5) и параллельно оси абсцисс (ОХ).

См. рисунок д).

e) x=4;

Графиком является прямая, которая проходит через точку (4;0) и параллельно оси ординат (ОY).

Подробнее - на -

4,5(65 оценок)
Это интересно:
logo
Вход Регистрация
Что ты хочешь узнать?
Спроси Mozg
Открыть лучший ответ