М
Молодежь
К
Компьютеры-и-электроника
Д
Дом-и-сад
С
Стиль-и-уход-за-собой
П
Праздники-и-традиции
Т
Транспорт
П
Путешествия
С
Семейная-жизнь
Ф
Философия-и-религия
Б
Без категории
М
Мир-работы
Х
Хобби-и-рукоделие
И
Искусство-и-развлечения
В
Взаимоотношения
З
Здоровье
К
Кулинария-и-гостеприимство
Ф
Финансы-и-бизнес
П
Питомцы-и-животные
О
Образование
О
Образование-и-коммуникации
sergeyblack11
sergeyblack11
24.09.2022 03:44 •  Алгебра

1)вычислите ∛38·∛4/19 2)решить уравнение cos3х = -√2/2 3)решить неравенство: 16∧х+4< 2 4) 5)найти первообразную функции f(x)=3x-5,график которой проходит через точку (4; 10)

👇
Ответ:
rahim55
rahim55
24.09.2022
1)\; \; \sqrt[3]{38} \cdot \sqrt[3]{\frac{4}{19}} = \sqrt[3]{\frac{38\cdot 4}{19} }=\sqrt[3]{\frac{2^3\cdot 19}{19}}=\sqrt[3]{2^3}=2\\\\2)\; \; cos3x=-\frac{\sqrt2}{2}\\\\3x=\pm (\pi -\frac{\pi}{4})+2\pi n=\pm \frac{3\pi}{4}+2\pi n\; ,\; n\in Z\\\\x=\pm \frac{\pi}{4}+\frac{2\pi n}{3}\; ,\; n\in Z\\\\3)\; \; 16^{x+4}\ \textless \ 2\\\\2^{4x+16}\ \textless \ 2\\\\4x+16\ \textless \ 1\\\\4x\ \textless \ -15\\\\x\ \textless \ -3,75\; \; ,\; \; x\in (-\infty ;\; -3,75)

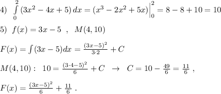
4)\; \; \int\limits^2_0 {(3x^2-4x+5)} \, dx =(x^3-2x^2+5x)\Big |_0^2=8-8+10=10\\\\5)\; \; f(x)=3x-5\; \; ,\; \; M(4,10)\\\\F(x)=\int (3x-5)dx=\frac{(3x-5)^2}{3\cdot 2}+C\\\\M(4,10):\; \; 10=\frac{(3\cdot 4-5)^2}{6}+C\; \; \to \; \; C=10-\frac{49}{6}=\frac{11}{6}\; ,\\\\F(x)=\frac{(3x-5)^2}{6}+\frac{11}{6}\; .
4,8(84 оценок)
Открыть все ответы
Ответ:
Mizukage
Mizukage
24.09.2022
Отрезок-это часть прямой,ограниченная двумя точками.
луч-это часть прямой,ограниченая одной точкой.
угол-это геометрическая фигура,состоящая из двух лучей,которые имеют общее начало.
биссектриса-это луч,который выходит из вершины угла и делит угол пополам.

вертикальные углы -2 угла,у которых стороны дополняют друг друга до прямой.

Два угла называются смежными если одна сторона у них общая,а другие являются продолжениями друг друга.
свойства:сумма смежных углов равна 180 градусов.

две прямые называются перпендикулярными если они пересекаются под прямым углом.

треугольник-геометрическая фигура,состоящая из трех точек не лежащих на одной прямой и попарно соединенных отрезков.

периметр треугольника-это сумма всех его сторон.
4,8(22 оценок)
Ответ:
kannoesubaru37
kannoesubaru37
24.09.2022

Пусть х(км/ч) -скорость течения реки.

у(км/ч) -собственная скорость катера.

Тогда скорость катера по течению реки равна (х+у) км/ч,

а против течения (у-х) км/ч. 

По условию по течению катер км), т.е. 5/3 х +5/3 у(км),  

а против течения 24(км), т. е. 1,5 у -1,5 х (км).

(5/3 - это 1час  20мин.)

 5/3 х +5/3 у =28 домножим на  3

1,5 у-1,5 х=24  домножим  на 10

 5х+5у=84

15у-15х=240   разделим на 3

 5х+5у=84

 5у-5х=80

Решим систему сложения двух уравнений:

 10у = 164

 5у-5х = 80

 

5у - 5х = 80

у = 16,4

 

5*16,4 - 5х = 80

у=16,4

 

-5 х = 80-82

у = 16,4

 

-5 х = -2

у = 16,4

 

х = 0,4

у = 16,4

ответ:  0,4 (км/ч) -  скорость течения реки

4,4(83 оценок)
Это интересно:
logo
Вход Регистрация
Что ты хочешь узнать?
Спроси Mozg
Открыть лучший ответ