М
Молодежь
К
Компьютеры-и-электроника
Д
Дом-и-сад
С
Стиль-и-уход-за-собой
П
Праздники-и-традиции
Т
Транспорт
П
Путешествия
С
Семейная-жизнь
Ф
Философия-и-религия
Б
Без категории
М
Мир-работы
Х
Хобби-и-рукоделие
И
Искусство-и-развлечения
В
Взаимоотношения
З
Здоровье
К
Кулинария-и-гостеприимство
Ф
Финансы-и-бизнес
П
Питомцы-и-животные
О
Образование
О
Образование-и-коммуникации
tutuginovvan
tutuginovvan
21.04.2023 04:45 •  Алгебра

Выберите правильный ответ. производную функции y=(11-4x)*ctg2x равна (запишите решение) 1)y'=(4x-11)-2sin4x/sin^2*2x 2)y'=(11-4x)-2sin4x/sin^2*2x 3)y'=(11-4x)+2sin4x/sin^2*2x 4)y'=2(4x-11)-2sin4x/sin^2*2x

👇
Ответ:
sol9
sol9
21.04.2023
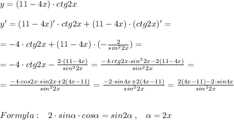
y=(11-4x)\cdot ctg2x\\\\y'=(11-4x)'\cdot ctg2x+(11-4x)\cdot (ctg2x)'=\\\\=-4\cdot ctg2x+(11-4x)\cdot (-\frac{2}{sin^22x} )=\\\\=-4\cdot ctg2x- \frac{2\cdot (11-4x)}{sin^22x} = \frac{-4\cdot ctg2x\cdot sin^22x-2(11-4x)}{sin^22x} =\\\\= \frac{-4\cdot cos2x\cdot sin2x+2(4x-11)}{sin^22x} =\frac{-2\cdot sin4x+2(4x-11)}{sin^22x} = \frac{2(4x-11)-2\cdot sin4x}{sin^22x} \\\\\\Formyla:\; \; \; 2\cdot sin \alpha \cdot cos \alpha =sin2\alpha \; ,\; \; \; \alpha =2x

Oтвет под  №4 .
4,7(34 оценок)
Открыть все ответы
Ответ:
Учитель1236
Учитель1236
21.04.2023

Hackercrime (✷‿✷) (◔‿◔) (╯︵╰,) o(╥﹏╥)o (╯︵╰,) o(╥﹏╥)o (╯︵╰,) U^ェ^U (╯︵╰,) (◔‿◔) (╯︵╰,) o(╥﹏╥)o (✷‿✷) o(╥﹏╥)o (. ❛ ᴗ ❛.) o(╥﹏╥)o (. ❛ ᴗ ❛.) (◠‿◕) (✪‿✪) o(╥﹏╥)o (✪‿✪) o(╥﹏╥)o (✷‿✷) (。◕‿◕。) (╯︵╰,) o(╥﹏╥)o (╯︵╰,) U^ェ^U (╯︵╰,) o(╥﹏╥)o (╯︵╰,) (ง'-̀̀'́)ง (╯︵╰,) o(╥﹏╥)o (╯︵╰,) U^ェ^U (╯︵╰,) U^ェ^U (╯︵╰,) o(╥﹏╥)o (✷‿✷) o(╥﹏╥)o (✷‿✷) \(^_^)/ o(╥﹏╥)o (✷‿✷) (✷‿✷) (◔‿◔) (. ❛ ᴗ ❛.) o(╥﹏╥)o (✷‿✷) U^ェ^U (✷‿✷) (。◕‿◕。) (╯︵╰,) (◔‿◔) (. ❛ ᴗ ❛.) (。◕‿◕。) (✪‿✪) \(^_^)/ (◉‿◉) (◠‿◕) (✷‿✷) (ง'-̀̀'́)ง (╯︵╰,) U^ェ^U ฅ^•ﻌ•^ฅ U^ェ^U (T_T) (◔‿◔)

4,4(9 оценок)
Ответ:
срочно118
срочно118
21.04.2023

Пусть сторона квадрата х см, тогда длина прямоугольника (3х) см, а ширина прямоугольника - (х - 5) см.

Т.к. площадь квадрата находят по формуле  S = а², где а - сторона квадрата,  о площадь данного квадрата равна (х²) см².

А т.к площадь прямоугольника находят по формуле S = a · b, где a и b - длина и ширина прямоугольника, то площадь данного прямоугольника будет равна S = 3х · (х - 5) = 3х² - 15х (см²).

Т.к. площадь квадрата на 50 см² меньше площади прямоугольника,  то составим и решим уравнение:

3x² - 15х = x² + 50,

3x² - x² - 15x - 50 = 0,

2x² - 15x - 50 = 0,

D = (-15)² - 4 · 2 · (-50) = 225 + 400 = 625 ; √625 = 25,

x₁ = (15 + 25)/(2 · 2) = 40/4 = 10,

x₂ = (15 - 25)/(2 · 2) = -10·/4 = -2,5 - не подходит по условию задачи.

Значит, сторона квадрата равна 10 см.

ответ: 10 см.

4,5(71 оценок)
Это интересно:
logo
Вход Регистрация
Что ты хочешь узнать?
Спроси Mozg
Открыть лучший ответ