М
Молодежь
К
Компьютеры-и-электроника
Д
Дом-и-сад
С
Стиль-и-уход-за-собой
П
Праздники-и-традиции
Т
Транспорт
П
Путешествия
С
Семейная-жизнь
Ф
Философия-и-религия
Б
Без категории
М
Мир-работы
Х
Хобби-и-рукоделие
И
Искусство-и-развлечения
В
Взаимоотношения
З
Здоровье
К
Кулинария-и-гостеприимство
Ф
Финансы-и-бизнес
П
Питомцы-и-животные
О
Образование
О
Образование-и-коммуникации
qwdv
qwdv
30.09.2020 17:34 •  Алгебра

Ввазе 4 белых и 7 красных астр. какова вероятность того, что среди троих случайным образом вынутых из вазы трех цветков окажется по крайней мере одна белая астра?

👇
Ответ:
krayushkinaalina
krayushkinaalina
30.09.2020
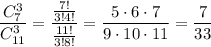
Вероятность того, что из вазы достать 0 белых астр равна  \dfrac{C^3_7}{C^3_{11}}= \dfrac{ \frac{7!}{3!4!} }{ \frac{11!}{3!8!} } = \dfrac{5\cdot6\cdot7}{9\cdot10\cdot 11}= \dfrac{7}{33}

Тогда вероятность того, что среди троих случайным образом вынутых из вазы трех цветков окажется хотя бы одна белая астра равна 1-\dfrac{7}{33} =\dfrac{26}{33}

ОТВЕТ: 26/33.
4,7(29 оценок)
Открыть все ответы
Ответ:
dasssshka1
dasssshka1
30.09.2020

6 лет бұрын

Дұрыс тамақтану

Қазіргі жағдайларда тамақтану мәселесі бірқатар себептерге байланысты бірінші орынға шықты, атап айтсақ: экологиялық ортаның бұзылуы, организмге қажет компоненттердің жеткіліксіз түсуі, дұрыс тамақтанбау, сапасы төмен азықтар және т.б. Экология нашарлайды, ал соның нәтижесінде біздің денсаулығымыз бен күшіміз толық жойылады. Организмнің көбінесе, ондағы пайда болатын және оған тамақпен, сумен, ауамен және дәрі-дәрмек заттарымен баратын зиянды заттарды шығаруды қамтамасыз етуге күші жеткіліксіз. Сау адам жейтін асына жиі зейінсіз қарайды. Ал, ауырып, күнделікті жарнама беттерінен түспейтін ең жаңа препараттарды іздей бастайды, сонымен, тамақ сияқты сенімді және тұрақты емдеу құралы туралы ұмытады. Ал, Гиппократтың өзі былай деген: «Біздің барлық емдеу құралдарымыз азық-түлік заттары болуы керек, ал азық-түлік заттары емдік заттар болуы керек».

4,8(47 оценок)
Ответ:
varvaralikhtsr
varvaralikhtsr
30.09.2020

По всей видимости, речь идёт о функции у=-5/(1+х^2)

Если это так, то обратим внимание на то, что знаменатель всегда положителен, поэтому значение функции всегда отрицательное.

Далее, вообще верхний предел этой функции равен 0, при х-> +-бесконечности, поэтому максимальное ЦЕЛОЕ значение, которое может принять функция, равно -1.

 

Вот в принципе и всё, однако для строгости нужно ещё доказать, что она где-то примет это значение. Это просто, так как мин. значение функции -5 , это очевидно, если глянуть на знаменатель. Поэтому область значений функции [-5;0). -1 входит в этот интервал. Всё.

 

Ну и последнее. В задаче НЕ ТРЕБУЕТСЯ определить при каком значении х достигается указанный максимум и в общем случае это бывает очень трудно, даже невозможно аналитическими методами сделать. У нас же очень простая функция, поэтому в качестве бонуса определим этот х.

-5/(1+х^2)=-1

x^2 = 4,   x=+-2

То есть указанного целочисленного максимума функция принимает даже при двух разных  значениях аргумента(хотя это было ясно с самого начала, так как функция чётная).

Вот теперь точно всё. 

4,5(78 оценок)
Новые ответы от MOGZ: Алгебра
logo
Вход Регистрация
Что ты хочешь узнать?
Спроси Mozg
Открыть лучший ответ