М
Молодежь
К
Компьютеры-и-электроника
Д
Дом-и-сад
С
Стиль-и-уход-за-собой
П
Праздники-и-традиции
Т
Транспорт
П
Путешествия
С
Семейная-жизнь
Ф
Философия-и-религия
Б
Без категории
М
Мир-работы
Х
Хобби-и-рукоделие
И
Искусство-и-развлечения
В
Взаимоотношения
З
Здоровье
К
Кулинария-и-гостеприимство
Ф
Финансы-и-бизнес
П
Питомцы-и-животные
О
Образование
О
Образование-и-коммуникации
valeriya2812
valeriya2812
24.01.2020 23:38 •  Алгебра

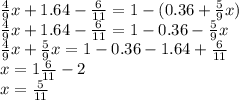
4) 4/9x +1,64- 6/11= 1-( 0,36+ 5/9x)

👇
Ответ:
driveSas
driveSas
24.01.2020
\frac{4}{9} x + 1.64 - \frac{6}{11} = 1 - (0.36 + \frac{5}{9} x) \\ \frac{4}{9} x + 1.64 - \frac{6}{11} = 1 - 0.36 - \frac{5}{9} x \\ \frac{4}{9} x + \frac{5}{9} x = 1 - 0.36 - 1.64 + \frac{6}{11} \\ x = 1 \frac{6}{11} - 2 \\ x = \frac{5}{11}
4,5(6 оценок)
Открыть все ответы
Ответ:
biryukovih
biryukovih
24.01.2020
1) Если это прямоугольник (длина и ширина), то
S0=a*b; S=1,2a*1,1b=1,32ab=1,32*S0
Площадь увеличится на 32%.
Если же это треугольник, то речь идёт о основании и высоте.
S0=a*h/2; S=1,2a*1,1h/2=1,32*S0
Увеличение все равно на 32%
2) a+b=56; a/3=b/4
4a=3(56-a); 7a=3*56=7*24
a=24; b=56-a=56-24=32
3) (4^6*9^5+6^9*120)/(8^4*3^12-6^11)=
(2^12*3^10+2^9*3^9*2^3*3*5)/
(2^12*3^12-2^11*3^11)=
(2^10*3^10*(4+4*5))/(2^11*3^11*(6-1)=
24/(6*5)=4/5=0,8
4) Было х яиц, взяли х/2, осталось тоже х/2. Второй раз взяли х/4, осталось х/4. Третий раз взяли х/8, осталось х/8, и это было 10 яиц.
x/8=10; x=80 яиц было в корзине.
Если же брали 4 раза половину остатка, то было 160.
4,4(61 оценок)
Ответ:
daniilkomarov
daniilkomarov
24.01.2020
Переписываем систему в виде:

2*(x+y)²+3*(x+2*y)=5
-2*(x+y)+3*(x+2*y)=5

Полагая x+y=u, x+2*y=v, приходим к системе:

2*u²+3*v=5
-2*u+3*v=5

Вычитая из первого уравнения второе, получаем систему:

2*u²+2*u=0
-2*u+3*v=5

Из первого уравнения находим u1=0, u2=-1. Подставляя эти значения во второе уравнение, находим v1=(5+2*u1)/3=5/3, v2=(5+2*u2)/3=1. Возвращаясь к переменным x и y, получаем две системы:

x+y=0
x+2*y=5/3

и

x+y=-1
x+2*y=1

Решая первую систему, находим x1=-5/3, y1=5/3. Решая вторую систему, находим x2=-3, y2=2. ответ: -5/3,5/3 и -3,2.
4,6(79 оценок)
Новые ответы от MOGZ: Алгебра
logo
Вход Регистрация
Что ты хочешь узнать?
Спроси Mozg
Открыть лучший ответ