М
Молодежь
К
Компьютеры-и-электроника
Д
Дом-и-сад
С
Стиль-и-уход-за-собой
П
Праздники-и-традиции
Т
Транспорт
П
Путешествия
С
Семейная-жизнь
Ф
Философия-и-религия
Б
Без категории
М
Мир-работы
Х
Хобби-и-рукоделие
И
Искусство-и-развлечения
В
Взаимоотношения
З
Здоровье
К
Кулинария-и-гостеприимство
Ф
Финансы-и-бизнес
П
Питомцы-и-животные
О
Образование
О
Образование-и-коммуникации
nikipana
nikipana
04.10.2021 04:27 •  Алгебра

Решите уравнееие а) 4у-(8-у)=12 б) 6(х+2)+7=5(х+1) в) (х-5) (4х+8)=0. буду ,кто !

👇
Ответ:
andrewgray
andrewgray
04.10.2021
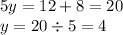
a)4y - 8 + y = 12 \\ 5y - 8 = 12
5y = 12 + 8 = 20 \\ y = 20 \div 5 = 4
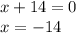
б)
6x + 12 + 7 = 5x + 5 \\ 6x + 12 + 7 - 5x - 5 = 0
x + 14 = 0 \\ x = - 14
в)
[tex] {4x}^{2} + 8x - 20x - 40 = 0
4х^ 2-12х-40=0|:4
х^2-3х-10=0
D=9+40=49=7
х1=3+7/2=5
х2=3-7/2=-2
4,7(38 оценок)
Ответ:
yourdream1806
yourdream1806
04.10.2021

а) 4у-(8-у)=12

4у-8+у=12

5y=12+8

5y=20

y=4

б) 6(х+2)+7=5(х+1)

6x+12+7=5x+5

6x-5x=-12-7+5

x=-14

в) (х-5) (4х+8)=0

x-5=0 или 4х+8=0

х=5             4х=-8

                 х=-2

4,4(86 оценок)
Открыть все ответы
Ответ:
urukhaiz
urukhaiz
04.10.2021
a-x^2 \geq |sinx|

График  y=|sinx|  расположен выше оси ОХ.
Точки пересечения с осью ОХ:  x=\pi n\; ,\; n\in Z .
Графики функций  y=a-x^2 - это параболы , ветви
которых направлены вниз, а вершины в точках (0, а).
При х=0  sin0=0 и точка (0,0) является точкой пересечения 
графика у=|sinx| и оси ОУ, на которой находятся вершины парабол.
При а=0 графики y=|sinx| и y=x² имеют одну точку пересе-
чения - (0,0), при а<0  точек пересе-
чения вообще нет. А при а>0 будет всегда 2 точки пересе-
чения этих графиков и соответственно, будет выполняться
заданное неравенство.
То есть одна точка пересечения при а=0.
ответ:  а=0.
При каком значении параметра а неравенство а-x^2больше или равно|sinx| имеет единственное решение? н
4,5(7 оценок)
Ответ:
карина2148
карина2148
04.10.2021
1)
F`(x)=3x²-6x-9
Находим точки, в которых производная обращается в нуль.
F`(x)=0
3x²-6x-9=0
3·(x²-2x-3)=0
x²-2x-3=0
D=16
x₁=(2-4)/2=-1     x₂=(2+4)/2=3 - точки возможных экстремумов
Обе точки принадлежат указанному промежутку
Не проверяя какая из них точка максимума, какая точка минимума, просто находим
F(-4)=(-4)³-3·(-4)²-9·(-4)+35=-64-48+36+35=-41   наименьшее
F(-1)=(-1)³-3·(-1)²-9·(-1)+35=-1-3+9+35=40  -   наибольшее
F(3)=(3)³-3·(3)²-9·(3)+35=8

F(4)=(4)³-3·(4)²-9·(4)+35=64-48-36+35=15

выбираем из них наибольшее и наименьшее

2)
F`(x)=3x²+18x-24
Находим точки, в которых производная обращается в нуль.
F`(x)=0
3x²+18x+24=0
3·(x²+6x+8)=0
x²+6x+8=0
D=36-4·8=36-32=4
x₁=(-6-2)/2=-4     x₂=(-6+2)/2=-2 - точки возможных экстремумов
Обе точки не принадлежат указанному промежутку

F(0)=10   - наименьшее
F(3)=3³+9·3²-24·3+10=46   - наибольшее
4,6(80 оценок)
Это интересно:
Новые ответы от MOGZ: Алгебра
logo
Вход Регистрация
Что ты хочешь узнать?
Спроси Mozg
Открыть лучший ответ