М
Молодежь
К
Компьютеры-и-электроника
Д
Дом-и-сад
С
Стиль-и-уход-за-собой
П
Праздники-и-традиции
Т
Транспорт
П
Путешествия
С
Семейная-жизнь
Ф
Философия-и-религия
Б
Без категории
М
Мир-работы
Х
Хобби-и-рукоделие
И
Искусство-и-развлечения
В
Взаимоотношения
З
Здоровье
К
Кулинария-и-гостеприимство
Ф
Финансы-и-бизнес
П
Питомцы-и-животные
О
Образование
О
Образование-и-коммуникации

Одна из сторон треугольника на 2 см меньше другой и в 2 раза меньше третьей. Найдите стороны треугольника, если его периметр равен 22 см

👇
Ответ:
ника2727
ника2727
04.03.2022
Так как f'(x)=tga  , по условию касательная должно  пересекать функцию в 1 четверти , значит y=-kx+b.  
Треугольник равнобедренный и прямоугольный следовательно другие углы равны 45а, но tg135=-1
откуда касательная принимает вид 
 y=-x+b 
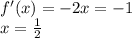
 f'(x)=-2x=-1\\
x=\frac{1}{2} 
 точка касания  касательной  с графиком по оси абсцисс равна        \frac{1}{2}
 по формуле касательной к графику 
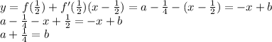
  y=f(\frac{1}{2})+f'(\frac{1}{2})(x-\frac{1}{2})=a-\frac{1}{4}-(x-\frac{1}{2})=-x+b\\\
a-\frac{1}{4}-x+\frac{1}{2}=-x+b\\
a+\frac{1}{4}=b \\

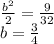
так как площадь треугольника должна равняться       \frac{9}{32}       ,  то  
 \frac{b^2}{2}=\frac{9}{32}\\
 b=\frac{3}{4} так как  1      четверть . 
  Откуда           a=\frac{1}{2}
4,7(98 оценок)
Открыть все ответы
Ответ:
GorunovaSasha
GorunovaSasha
04.03.2022
уже решено
1. В последовательности чисел 9 875, 9 765, 9 655, 9 435 пропущено число 9 545. Верно  
2. На овощной базе есть бананы в закрытых коробках по 16 кг и по 17 кг в каждой. Не раскрывая коробок, можно отпустить покупателю 50 кг. Верно
3. В частном при делении числа 618 на 6 будет две цифры. Неверно
4. Чтобы равенство 672:□ +333 • 3= 1 000 стало верным, надо в окошко записать число 672. Верно
5. При делении числа 539 на 10 будет остаток. Верно
6. Если в окошко вставить число 76, то станет верной запись □ :8 = 9 (ост. 5). Неверно
7. Значения массы 330 кг, 3 ц, 3 т расположены в порядке их увеличения. Неверно
8. Если в окошко вставить число 16, то станет верной запись 50:3=□ (ост. 2). Верно
9. Значения длины 5 м, 5 км, 501 см расположены в порядке их уменьшения. Неверно
10. Значение выражения 480 — (80 + 10) не изменится, если убрать скобки. Неверно
11. В выражении 200 + 300 • 4 сумму чисел 200 и 300 надо увеличить в 4 раза. Неверно
12. Длина одной десятой метра равна 1 дм. Верно
13. Чтобы рассадить учеников трёх классов, в каждом из которых по 24 ученика, так, чтобы для каждого ученика был свой стул, хватит 70 стульев. Неверно
14. 1) Периметр квадрата со стороной 5 см равен периметру прямоугольника со сторонами 8 см и 2 см. Верно
2) Площадь квадрата со стороной 5 см равна площади прямоугольника со сторонами 8 см и 2 см. Неверно
4,5(54 оценок)
Ответ:
foma2280
foma2280
04.03.2022
уже решено
1. В последовательности чисел 9 875, 9 765, 9 655, 9 435 пропущено число 9 545. Верно  
2. На овощной базе есть бананы в закрытых коробках по 16 кг и по 17 кг в каждой. Не раскрывая коробок, можно отпустить покупателю 50 кг. Верно
3. В частном при делении числа 618 на 6 будет две цифры. Неверно
4. Чтобы равенство 672:□ +333 • 3= 1 000 стало верным, надо в окошко записать число 672. Верно
5. При делении числа 539 на 10 будет остаток. Верно
6. Если в окошко вставить число 76, то станет верной запись □ :8 = 9 (ост. 5). Неверно
7. Значения массы 330 кг, 3 ц, 3 т расположены в порядке их увеличения. Неверно
8. Если в окошко вставить число 16, то станет верной запись 50:3=□ (ост. 2). Верно
9. Значения длины 5 м, 5 км, 501 см расположены в порядке их уменьшения. Неверно
10. Значение выражения 480 — (80 + 10) не изменится, если убрать скобки. Неверно
11. В выражении 200 + 300 • 4 сумму чисел 200 и 300 надо увеличить в 4 раза. Неверно
12. Длина одной десятой метра равна 1 дм. Верно
13. Чтобы рассадить учеников трёх классов, в каждом из которых по 24 ученика, так, чтобы для каждого ученика был свой стул, хватит 70 стульев. Неверно
14. 1) Периметр квадрата со стороной 5 см равен периметру прямоугольника со сторонами 8 см и 2 см. Верно
2) Площадь квадрата со стороной 5 см равна площади прямоугольника со сторонами 8 см и 2 см. Неверно
4,4(3 оценок)
Это интересно:
Новые ответы от MOGZ: Другие предметы
logo
Вход Регистрация
Что ты хочешь узнать?
Спроси Mozg
Открыть лучший ответ