М
Молодежь
К
Компьютеры-и-электроника
Д
Дом-и-сад
С
Стиль-и-уход-за-собой
П
Праздники-и-традиции
Т
Транспорт
П
Путешествия
С
Семейная-жизнь
Ф
Философия-и-религия
Б
Без категории
М
Мир-работы
Х
Хобби-и-рукоделие
И
Искусство-и-развлечения
В
Взаимоотношения
З
Здоровье
К
Кулинария-и-гостеприимство
Ф
Финансы-и-бизнес
П
Питомцы-и-животные
О
Образование
О
Образование-и-коммуникации

Прочитай стихотворение про себя. Какую картину ты представил? Как бы ты озаглавил это стихотворение? Почему? Сравни своё заглавие с авторским

👇
Ответ:
deryabina92
deryabina92
12.12.2020
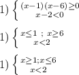
\frac{x^2-7x+6}{x-2} \leq 0\\\\
x^2-7x+6=(x-1)(x-6)\\\\\
 \frac{(x-1)(x-6)}{x-2} \leq 0\\\\
 x \neq 2\\\\


1) \left \{ {{(x-1)(x-6) \geq 0} \atop {x-2<0}} \right. \\\\ &#10;2) \left \{ {{(x-1)(x-6) \leq 0 } \atop {x-20}} \rigaht. \\\\
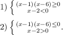
Первое неравенство 
1) \left \{ {{(x-1)(x-6) \geq 0} \atop {x-2<0}} \right. \\\\ 1) \left \{ {{x \leq 1 \ ; \ x \geq 6} \atop {x<2}} \right. \\\\ 1) \left \{ {{x \geq 1 ; x \leq 6} \atop {x<2}} \right.
 Получаем решение 
x \in (\infty;1)

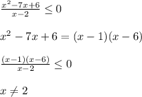
Второе неравенство  
\left \{ {{(x-1)(x-6) \leq 0 } \atop {x2}} \right. \\\\&#10; \left \{ {{x \leq 1 ; \ \ x \geq 6} \atop {x2}} \right. \\\\&#10; \left \{ {{x \geq 1; x \leq 6} \atop {x<2}} \right. 
 Получаем решение 
 x \in (2;6]\\

Объединяя 
  x \in (-\infty;1) \ \ \cup \ \ \ (2;6]
4,4(20 оценок)
Открыть все ответы
Ответ:
milanakpoplove
milanakpoplove
12.12.2020

1. Что такое сортовой прокат?

Сортовой прокат — это металлические изделия разнообразных сплошных поперечных сечений, конечная продукция станов горячей прокатки.

2. Каким образом получают нужный профиль проката?

Сортовой прокат получают прокаткой (обжатием) нагретых слитков металла между валками прокатного стана. Профиль проката (форма его поперечного сечения) зависит от формы валков.

3. Назовите основные профили сортового проката.

Квадрат, полоса, шестигранник, тавр, двутавр, круг, уголок, швеллер.

4. Из какого проката изготовлены кернеры, свёрла, чертилки, резцы рубанка, болты?

Сталь У8 как самая эргономичная.

5. В чём преимущество П-образного профиля перед листовым (по результатам выполнения п. 5, 6 практической работы №15)?

Форма листового проката повышает прочность и жесткость конструкции.

4,8(73 оценок)
Ответ:
Evgenevgenevgen
Evgenevgenevgen
12.12.2020

Объяснение:

Шип — рыба рода осётров.

Шип — твёрдый массивный колючий вырост на стебле (или черешке) растения, развивающийся из поверхностных тканей. В отличие от колючек шип не имеет строгого порядка в расположении.

Шип — выступ на торце или на боковой поверхности детали, входящий в паз, проушину или гнездо другой детали, как например шейка вала.

Шип — металлический стержень, вставляемый в шину для обеспечения лучшего сцепления с дорогой в зимних условиях.

ШИП — широтно-импульсный преобразователь, устройство в цифровой электронике.

4,7(26 оценок)
Новые ответы от MOGZ: Другие предметы
logo
Вход Регистрация
Что ты хочешь узнать?
Спроси Mozg
Открыть лучший ответ