М
Молодежь
К
Компьютеры-и-электроника
Д
Дом-и-сад
С
Стиль-и-уход-за-собой
П
Праздники-и-традиции
Т
Транспорт
П
Путешествия
С
Семейная-жизнь
Ф
Философия-и-религия
Б
Без категории
М
Мир-работы
Х
Хобби-и-рукоделие
И
Искусство-и-развлечения
В
Взаимоотношения
З
Здоровье
К
Кулинария-и-гостеприимство
Ф
Финансы-и-бизнес
П
Питомцы-и-животные
О
Образование
О
Образование-и-коммуникации

Заполните пропуск в схеме. Сословное деление российского общества во второй половине XIX в. (в соответствии со Сводом законов Российской империи)

👇
Ответ:
olysenko290
olysenko290
24.08.2022
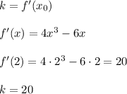
k=f'(x_0)\\\\f'(x)=4x^3-6x\\\\f'(2)=4\cdot 2^3-6\cdot 2=20\\\\k=20
4,5(99 оценок)
Открыть все ответы
Ответ:
alenalevkika79
alenalevkika79
24.08.2022

счет сварных соединений, выполненных стыковым швом. Расчет стыкового шва, работающего на растяжение или сжатие, производится по уравнению:

image001_2_a259e76ecbb5fc9b3b94220c1ca0621c Механик,

где image002_4_c3aedcd14ec75688ed566041bb9d6742 Механик - длина шва, мм; s - толщина соединяемых элементов, мм; P - действующая нагрузка, Н; image003_4_ad94bea7f618a7dda10399f1f5888a3e Механик- допускаемое напряжение на растяжение или сжатие для сварного шва, Па.

Допустимая растягивающая или сжимающая сила:

image004_2_db43289352327f80ac5f1ac1686c3925 Механик

Расчет стыкового шва, работающего на изгиб осуществляется по формуле: image005_3_d626636a4e0d459c7c1b83e9a037006a Механик

где: М - изгибающий момент Н/мм; Wc – момент сопротивления расчетного сечения.

Напряжения, возникающие от изгибания момента М и растягивающей или сжимающей силы Р, определяются из выражения:

image006_4_4a33378a11c99217c86c809e362b3460 Механик  

Расчет сварных соединений внахлестку. Сварные соединения внахлестку выполняются угловыми швами. Расчет угловых швов всех типов унифицирован и производится по единым формулам. Напряжение, среза определяется из уравнения

image010_4_23d51d0f469005bcc58cee51c537d374 Механик,

где Р - нагрузка, Н; image002_4_c3aedcd14ec75688ed566041bb9d6742 Механик - длина шва, мм; 0,7к - толщина шва в опасном сечении, см; image011_3_d8faf721206c8bf00a0cddb50f7801e5 Механик- допускаемое напряжение на срез для сварного шва, Па.

Допустимая (сдвигающая) нагрузка:

image012_3_ade6db330e5cf8fad47c07f52bb90887 Механик

При нагружении углового шва только моментом условие прочности шва на изгиб запишется так:

image013_4_71388179a719733e2c69f63737d88bad Механик,

где М - изгибающий момент, Н/мм; Wc - момент сопротивления опасного сечения шва.

При нагружении углового шва моментом М и продольной силой Р (рис 48, а) напряжение на срез составит

image014_4_f2e401e1d46ebbe70e1c9db4055e68c4 Механик,

где Fc = 0,7kl - площадь опасного сечения шва, мм2.

Комбинированные сварные швы применяются в том случае, селя про стой угловой шов (лобовой, косой, фланго вый) не обеспечивает необходимую прочность сварного соединения (рис. 49).

Условие прочности комбинированных швов, нагруженных моментом в плоскости стыка, при приближенном расчете выразится уравнением

Объяснение:

4,7(53 оценок)
Ответ:
damirpernebek7
damirpernebek7
24.08.2022

Цепная (последовательная, линейная) связь самый распространённый соединения предложений (ср. последовательную связь придаточных в сложноподчинённом предложении). Широкое использование цепных связей во всех стилях речи объясняется тем, что они в наибольшей степени соответствуют специфике мышления, особенностям соединения суждений. Там, где мысль развивается линейно, последовательно, где каждое последующее предложение развивает предшествующее, как бы вытекает из него, неизбежны цепные связи.

Объяснение:Ря

4,6(57 оценок)
Новые ответы от MOGZ: Другие предметы
logo
Вход Регистрация
Что ты хочешь узнать?
Спроси Mozg
Открыть лучший ответ