М
Молодежь
К
Компьютеры-и-электроника
Д
Дом-и-сад
С
Стиль-и-уход-за-собой
П
Праздники-и-традиции
Т
Транспорт
П
Путешествия
С
Семейная-жизнь
Ф
Философия-и-религия
Б
Без категории
М
Мир-работы
Х
Хобби-и-рукоделие
И
Искусство-и-развлечения
В
Взаимоотношения
З
Здоровье
К
Кулинария-и-гостеприимство
Ф
Финансы-и-бизнес
П
Питомцы-и-животные
О
Образование
О
Образование-и-коммуникации
ndknmm
ndknmm
11.05.2020 03:46 •  Другие предметы

Какое основное свойство почвы используется человеком? Приведите примеры разрушения почв в вашей местности. Как охраняют почвы в вашей местности?

👇
Ответ:
vladimirkotov71
vladimirkotov71
11.05.2020
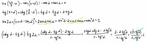
A)sin(3п/2-a)-cos(п+а)=-cos a+cosa=0
б)tg(п+a)+ctg(п/2-a)=tg a+tga=2tg a
в)sin2a+(sina-cosa)^2=2sin a·cosa+sin²a-2sina·cosa+cos²a=sin²a+cos²a=1
г)

(ctga-tga)*tg2a= \frac{(ctga-tga)*2tga}{1-tg^{2}a} = \frac{2tga*ctga-2tg^{2}a}{1-tg^{2}a} = \\ 
 \frac{2-2tg^{2}a}{1-tg^{2}a} = \frac{2(1-tg^{2}a)}{1-tg^{2}a} = 2 \\
4,7(24 оценок)
Ответ:
Если понравилось решение - нажимай " " и "лучший" (рядом с кнопкой " ") :)
Какое основное свойство почвы используется человеком? Приведите примеры разрушения почв в вашей мест
4,4(38 оценок)
Открыть все ответы
Ответ:
zhansayaser
zhansayaser
11.05.2020
Рассказ комичен.Нравится трогательность письма Ванюши к любимому деду, там он упоминает о том как ему плохо живется ,что хозяин порет его и никогда на праздник не купит игрушки.Не нравиться  наивность мальчонки который пишет на конверте в разделе адрес "На деревню дедушке". по своему малолеству мальчик не знает о том что по таким критериям отправки не дойдет ни одно письмо.Также не нравиться злободневность, и отношение рабочих к Ване, бедному мальчику приходится бегать в бакалею и покупать им табаку.
4,8(49 оценок)
Ответ:
Алия0051
Алия0051
11.05.2020
Рассказ комичен.Нравится трогательность письма Ванюши к любимому деду, там он упоминает о том как ему плохо живется ,что хозяин порет его и никогда на праздник не купит игрушки.Не нравиться  наивность мальчонки который пишет на конверте в разделе адрес "На деревню дедушке". по своему малолеству мальчик не знает о том что по таким критериям отправки не дойдет ни одно письмо.Также не нравиться злободневность, и отношение рабочих к Ване, бедному мальчику приходится бегать в бакалею и покупать им табаку.
4,7(61 оценок)
Это интересно:
Новые ответы от MOGZ: Другие предметы
logo
Вход Регистрация
Что ты хочешь узнать?
Спроси Mozg
Открыть лучший ответ