М
Молодежь
К
Компьютеры-и-электроника
Д
Дом-и-сад
С
Стиль-и-уход-за-собой
П
Праздники-и-традиции
Т
Транспорт
П
Путешествия
С
Семейная-жизнь
Ф
Философия-и-религия
Б
Без категории
М
Мир-работы
Х
Хобби-и-рукоделие
И
Искусство-и-развлечения
В
Взаимоотношения
З
Здоровье
К
Кулинария-и-гостеприимство
Ф
Финансы-и-бизнес
П
Питомцы-и-животные
О
Образование
О
Образование-и-коммуникации
jockman
jockman
16.02.2021 21:16 •  Другие предметы

Какие виды обратной связи направляют процесс онтогенеза?

👇
Ответ:
christihhh75
christihhh75
16.02.2021
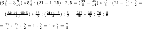
(6 \frac{3}{5}-3 \frac{3}{14})*5 \frac{5}{6} : (21-1,25):2,5=(\frac{33}{5}-\frac{45}{14})*\frac{35}{6} : (21- \frac{5}{4} ): \frac{5}{2} = \\ \\ 
=(\frac{33*14-45*5}{70})*\frac{35}{6} : (\frac{21*4-5}{4} ): \frac{5}{2}=\frac{237}{70}*\frac{35}{6} : \frac{79}{4}: \frac{5}{2} = \\ \\ 
=\frac{79}{4} : \frac{79}{4}: \frac{5}{2}=1:\frac{5}{2}=1*\frac{2}{5}=\frac{2}{5}
4,8(74 оценок)
Открыть все ответы
Ответ:
Krosarik
Krosarik
16.02.2021
Нельзя говорить, что какие либо черты правового государства наиболее важны для человека, а другие важны в меньшей степени. Рассмотрим это на примере признаков правового государства:
господство закона во всех сферах общественной жизни;
связь государства и его органов через закон;
судебная защита прав граждан и взаимная ответственность государства и личности.
В правовом государстве вся деятельность подчинена нормам и фундаментальным принципам права. Соответственно и взаимоотношение гражданин-государство также регулируются законом. В данном случае невозможно убрать какой-либо из признаков правового государства, потому что это нарушит положение гражданина в государстве.
4,4(95 оценок)
Ответ:
mrsos22
mrsos22
16.02.2021
Нельзя говорить, что какие либо черты правового государства наиболее важны для человека, а другие важны в меньшей степени. Рассмотрим это на примере признаков правового государства:
господство закона во всех сферах общественной жизни;
связь государства и его органов через закон;
судебная защита прав граждан и взаимная ответственность государства и личности.
В правовом государстве вся деятельность подчинена нормам и фундаментальным принципам права. Соответственно и взаимоотношение гражданин-государство также регулируются законом. В данном случае невозможно убрать какой-либо из признаков правового государства, потому что это нарушит положение гражданина в государстве.
4,6(51 оценок)
Новые ответы от MOGZ: Другие предметы
logo
Вход Регистрация
Что ты хочешь узнать?
Спроси Mozg
Открыть лучший ответ