М
Молодежь
К
Компьютеры-и-электроника
Д
Дом-и-сад
С
Стиль-и-уход-за-собой
П
Праздники-и-традиции
Т
Транспорт
П
Путешествия
С
Семейная-жизнь
Ф
Философия-и-религия
Б
Без категории
М
Мир-работы
Х
Хобби-и-рукоделие
И
Искусство-и-развлечения
В
Взаимоотношения
З
Здоровье
К
Кулинария-и-гостеприимство
Ф
Финансы-и-бизнес
П
Питомцы-и-животные
О
Образование
О
Образование-и-коммуникации
787363
787363
16.02.2021 21:16 •  Другие предметы

Как сукцессии экосистем влияют на минеральный субстрат и абиотические факторы среды?

👇
Ответ:
LizaVeta20071
LizaVeta20071
16.02.2021
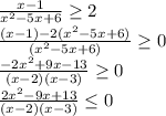
\frac{x-1}{ x^{2} -5x+6} \geq 2

\frac{x-1}{ x^{2} -5x+6} -2 \geq 0,

\frac{x-1-2 x^{2} +10x-12}{ x^{2} -5x+6} \geq 0,

\frac{-2 x^{2} +11x-13}{ x^{2} -5x+6} \geq 0

Найдем нули числителя: решаем квадратное уравнение

2х²-11х+13=0
D=b²-4ac=121-4·2·13=121-104=17
x₁=(11-√17)/4    x₂=(11+√17)/4

Найдем нули знаменателя: решаем квадратное уравнение:
х²-5х+6=0
D=b²-4ac=25-24=1
х₃=2    х₄=3

Отметим найденные значения на числовой прямой
                                   -       +   2   -         3    +        -
--------------0-------1------Ι-----о---------- о------Ι---------------
                               (11-√17)/2                        (11+√17)/2

Четыре точки разбили числовую прямую на пять промежутков
знаки в каждом из промежутков: -  +  - + -

ответ. [(11-√17)/2; 2) υ(3; (11+√17)/2]
4,4(80 оценок)
Ответ:
DanilkaMare
DanilkaMare
16.02.2021
\frac{x-1}{x^2-5x+6} \geq 2 \\ \frac{(x-1)-2(x^2-5x+6)}{(x^2-5x+6)} \geq 0 \\ \frac{-2x^2+9x-13}{(x-2)(x-3)} \geq 0 \\ \frac{ 2x^2-9x+13}{(x-2)(x-3)} \leq 0
D числителя меньше 0 ⇒ корней в числителе нет и выражение всегда положительное. Значит, работаем со знаменателем:
2<x<3
4,4(90 оценок)
Открыть все ответы
Ответ:
Silestya
Silestya
16.02.2021
В парах завершите вопросы и ответьте на них (вы можете догадаться). Затем, вы можете проверить свои ответы в конце вашей рабочей тетради.
1. What is the fastest animal in the world? How fast can a cheetah run? – Какое самое быстрое животное в мире? Как быстро гепард может бегать?
Cheetah is the fastest animal in the world. It can run 100 kilometers per hour. — Гепард является самым быстрым животным в мире. Он может бегать 100 километров в час.
2. What is the heaviest animal in the world? How much does an elephant weigh? – Какое самое тяжелое животное в мире? Сколько весит слон?
An elephant is the heaviest animal in the world. It weighs 6000 kilos. — Слон является самым тяжелым животным в мире. Он весит 6000 килограммов.
3. What is the longest animal in the world? How long is this animal? – Какое животное самое длинное в мире? Насколько длинно это животное?
Python is the longest animal in the world. It is 600 centimeters long. — Питон является самым длинным животным в мире. Его длина составляет 600 сантиметров.
4. What is the tallest animal in the world? How tall is a giraffe? – Какое животное самое высокое в мире? Какой рост у жирафа?
Giraffe is the tallest animal in the world. It is 600 centimeters tall. — Жираф является самым высоким животным в мире. Он 600 сантиметров в высоту.
5. What is the smallest bird in the world? How small is a hummingbird? – Какая птица самая маленькая в мире? Насколько мала колибри?
Hummingbird is the smallest bird in the world. It is 2 cm long and weighs 5 grams. — Колибри является самой маленькой птицей в мире. Он имеет длину 2 см и весит 5 граммов.
4,5(59 оценок)
Ответ:
Rock2015
Rock2015
16.02.2021
В парах завершите вопросы и ответьте на них (вы можете догадаться). Затем, вы можете проверить свои ответы в конце вашей рабочей тетради.
1. What is the fastest animal in the world? How fast can a cheetah run? – Какое самое быстрое животное в мире? Как быстро гепард может бегать?
Cheetah is the fastest animal in the world. It can run 100 kilometers per hour. — Гепард является самым быстрым животным в мире. Он может бегать 100 километров в час.
2. What is the heaviest animal in the world? How much does an elephant weigh? – Какое самое тяжелое животное в мире? Сколько весит слон?
An elephant is the heaviest animal in the world. It weighs 6000 kilos. — Слон является самым тяжелым животным в мире. Он весит 6000 килограммов.
3. What is the longest animal in the world? How long is this animal? – Какое животное самое длинное в мире? Насколько длинно это животное?
Python is the longest animal in the world. It is 600 centimeters long. — Питон является самым длинным животным в мире. Его длина составляет 600 сантиметров.
4. What is the tallest animal in the world? How tall is a giraffe? – Какое животное самое высокое в мире? Какой рост у жирафа?
Giraffe is the tallest animal in the world. It is 600 centimeters tall. — Жираф является самым высоким животным в мире. Он 600 сантиметров в высоту.
5. What is the smallest bird in the world? How small is a hummingbird? – Какая птица самая маленькая в мире? Насколько мала колибри?
Hummingbird is the smallest bird in the world. It is 2 cm long and weighs 5 grams. — Колибри является самой маленькой птицей в мире. Он имеет длину 2 см и весит 5 граммов.
4,8(2 оценок)
Это интересно:
logo
Вход Регистрация
Что ты хочешь узнать?
Спроси Mozg
Открыть лучший ответ