М
Молодежь
К
Компьютеры-и-электроника
Д
Дом-и-сад
С
Стиль-и-уход-за-собой
П
Праздники-и-традиции
Т
Транспорт
П
Путешествия
С
Семейная-жизнь
Ф
Философия-и-религия
Б
Без категории
М
Мир-работы
Х
Хобби-и-рукоделие
И
Искусство-и-развлечения
В
Взаимоотношения
З
Здоровье
К
Кулинария-и-гостеприимство
Ф
Финансы-и-бизнес
П
Питомцы-и-животные
О
Образование
О
Образование-и-коммуникации

Прочитайте выразительно. Найдите вопросительные предложения. Укажите в них вопросительные местоимения и определите их падеж.

👇
Ответ:
dinbili4
dinbili4
21.03.2021
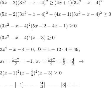
(5x-2)(3x^2-x-4)^2 \geq (4x+1)(3x^2-x-4)^2\\\\(5x-2)(3x^2-x-4)^2-(4x+1)(3x^2-x-4)^2 \geq 0\\\\(3x^2-x-4)^2(5x-2-4x-1) \geq 0\\\\(3x^2-x-4)^2(x-3) \geq 0\\\\3x^2-x-4=0,\; D=1+12\cdot 4=49,\\\\x_1=\frac{1-7}{6}=-1,\; x_2=\frac{1+7}{6}=\frac{8}{6}=\frac{4}{3}\; \; \to \\\\3(x+1)^2(x-\frac{4}{3})^2(x-3) \geq 0\\\\---[-1]---[\frac{4}{3}]---[3]+++

x\in \{-1\}U\{\frac{4}{3}\}U[3,+\infty)

Метод интервалов.
4,6(52 оценок)
Открыть все ответы
Ответ:
Kuса
Kuса
21.03.2021
Розв'язання:
24 : 3  = 8 (д.) - майстер виготовляє деталей за 1 год.
8 + 1 = 9 (д.) - буде виготовляти деталей за 1 год.
45 : 9 = 5 (год) - треба часу майстрові.
Відповідь: 5 годин.
Склади й розв'яжи обернену задачу, у якій по­трібно знайти число 45.
За 3 год майстер виготовляє 24 деталі. Скіль­ки деталей виготовить майстер за 5 год, якщо він виготовлятиме за годину на 1 деталь більше?
Розв'язання:
24 : 3  = 8 (д.) - майстер виготовляє деталей за 1 год.
8 + 1 = 9 (д.) - буде виготовляти деталей за 1 год.
5 • 9 = 45 (д.) - виготовить деталей майстер за 5 год.
Відповідь: 45 деталей.
4,8(70 оценок)
Ответ:
alieismailova1
alieismailova1
21.03.2021
Решение:
1.    Рассчитаем коэффициент естественного прироста:
КЕП = КР - КС
КЕП = 23 ‰– 15‰ = 8‰
2.    Рассчитаем показатель иммиграции:
КИМ = (ИМ:ЧН) х 1000, отсюда
ИМ = КИМ :1000 х ЧН
ИМ = 10‰ : 1000 х 30 млн. чел. = 300000 чел.
3.    Рассчитаем показатель эмиграции:
КЭМ= (ЭМ:ЧН) х 1000, отсюда
ЭМ = КЭМ :1000 х ЧН
ЭМ= 16‰ : 1000 х 30 млн. чел. = 480000 чел.
4.    Рассчитаем сальдо миграций:
СМ = ИМ – ЭМ
300000 чел. – 480000 чел. = -180 000 чел.
Ответ: коэффициент естественного прироста равен 8‰, сальдо миграций равно -180000 человек.
4,4(96 оценок)
Это интересно:
Новые ответы от MOGZ: Другие предметы
logo
Вход Регистрация
Что ты хочешь узнать?
Спроси Mozg
Открыть лучший ответ